【药物名称】
化学结构式(Chemical Structure):
参考文献No.45780
标题:Iminocyclitol inhibitors of hexoaminidase and glycosidase
作者:Wong, C.-H.; Liu, J. (Scripps Research Institute)
来源:WO 0068194
合成路线图解说明:

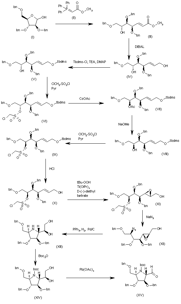
The condensation of benzylated D-arabinofuranose (I) with phosphonate (II) in benzene gives the unsaturated ester (III), which is reduced with DIBAL in dichloromethane, yielding the alcohol (IV). The selective monosilylation of (IV) with Tbdms-Cl, TEA and DMAP in DMF affords the silyl ether (V), which is treated with chloromethylsulfonyl chloride and pyridine to provide the sulfonate (VI). The reaction of (VI) with CsOAc and a crown ether in toluene gives the acetate (VII) with inversion of the configuration at the acetoxy group. Hydrolysis of the acetate group with NaOMe in THF yields the alcohol (VIII), which is chloromesylated as before, affording the sulfonate (IX). The treatment of (IX) with HCl in THF eliminates the silyl group, providing the unsaturated alcohol (X), which is epoxidized with tBu-OOH, Ti(OAc)4 and D-(-)-diethyl tartrate to give the chiral epoxide (XI). The reaction of (XI) with sodium azide in DMF yields the azido compound (XII) with the correct steric configuration. The reductive cyclization of (XII) with PPh3, H2 and Pd/C in methanol affords the pyrrolidine (XIII), which is N-protected with Boc2O and TEA in dichloromethane, providing the carbamate (XIV). Oxidative cleavage of the vicinal diol of (XIV) with Pb(OAc)4 in toluene gives the carbaldehyde (XV).

合成路线图解说明:

The reduction of aldehyde (XV) with DIBAL in dichloromethane gives the carbinol (XVI), which is treated with Ms-Cl and TEA to yield the mesylate (XVII). The reaction of (XVII) with sodium azide in DMF affords the corresponding azide (XVIII), which is reduced with H2 over Pd/C in methanol to provide the amino compound (XIX). The reaction of (XIX) with Ac2O in pyridine gives the expected amide (XX), which is treated with TFA to eliminate the carbamate protecting group, thus yielding pyrrolidine (XXI). The reductive methylation of (XXI) with formaldehyde and NaBH3CN in methanol affords the N-methylated pyrrolidine (XXII), which is finally deprotected by hydrogenation with H2 over Pd/C in methanol.

参考文献No.543240
标题:A versatile synthetic strategy for the preparation and discovery of new iminocyclitols as inhibitors of glucosidases
作者:Takebayashi, M.; Kajimoto, T.; Kanie, O.; Hiranuma, S.; Kanie, Y.; Wong, C.-H.
来源:J Org Chem 1999,64(14),5280
合成路线图解说明:

The condensation of benzylated D-arabinofuranose (I) with phosphonate (II) in benzene gives the unsaturated ester (III), which is reduced with DIBAL in dichloromethane, yielding the alcohol (IV). The selective monosilylation of (IV) with Tbdms-Cl, TEA and DMAP in DMF affords the silyl ether (V), which is treated with chloromethylsulfonyl chloride and pyridine to provide the sulfonate (VI). The reaction of (VI) with CsOAc and a crown ether in toluene gives the acetate (VII) with inversion of the configuration at the acetoxy group. Hydrolysis of the acetate group with NaOMe in THF yields the alcohol (VIII), which is chloromesylated as before, affording the sulfonate (IX). The treatment of (IX) with HCl in THF eliminates the silyl group, providing the unsaturated alcohol (X), which is epoxidized with tBu-OOH, Ti(OAc)4 and D-(-)-diethyl tartrate to give the chiral epoxide (XI). The reaction of (XI) with sodium azide in DMF yields the azido compound (XII) with the correct steric configuration. The reductive cyclization of (XII) with PPh3, H2 and Pd/C in methanol affords the pyrrolidine (XIII), which is N-protected with Boc2O and TEA in dichloromethane, providing the carbamate (XIV). Oxidative cleavage of the vicinal diol of (XIV) with Pb(OAc)4 in toluene gives the carbaldehyde (XV).

合成路线图解说明:

The reduction of aldehyde (XV) with DIBAL in dichloromethane gives the carbinol (XVI), which is treated with Ms-Cl and TEA to yield the mesylate (XVII). The reaction of (XVII) with sodium azide in DMF affords the corresponding azide (XVIII), which is reduced with H2 over Pd/C in methanol to provide the amino compound (XIX). The reaction of (XIX) with Ac2O in pyridine gives the expected amide (XX), which is treated with TFA to eliminate the carbamate protecting group, thus yielding pyrrolidine (XXI). The reductive methylation of (XXI) with formaldehyde and NaBH3CN in methanol affords the N-methylated pyrrolidine (XXII), which is finally deprotected by hydrogenation with H2 over Pd/C in methanol.

Drug Information Express,Drug R&D,Chemical Database,Patent Search.
Copyright © 2006-2026 Drug Future. All rights reserved.Contact Us