【药物名称】
化学结构式(Chemical Structure):
参考文献No.26575
标题:Imidazolone and oxazolone derivs. as dopamine antagonists
作者:Carling, W.R.; Moore, K.W. (Merck Sharp & Dohme Ltd.)
来源:EP 0719264; JP 1997504272; US 5698573; WO 9507904
合成路线图解说明:

Condensation of 4-amino-1-benzylpiperidine (I) with benzoyl isocyanate gave the benzoyl urea (II), which was subsequently hydrolyzed to urea (III) with NaOH in aqueous methanol. Then, condensation of (III) with 2-hydroxypropiophenone (IV) in the presence of trifluoroacetic acid afforded a mixture of minor amounts of the required imidazolone (V) along with the major undesired regioisomer (VI).

合成路线图解说明:

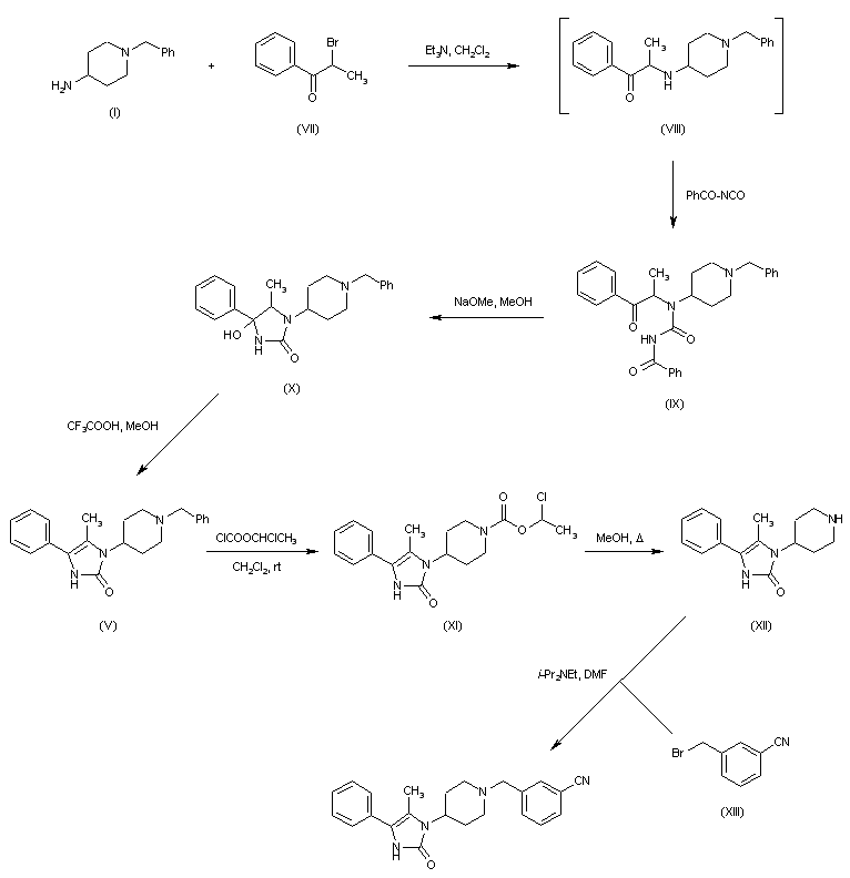
Aminopiperidine (I) was alkylated with 2-bromopropiophenone (VII), and the resulting unstable aminoketone (VIII) was treated with benzoyl isocyanate to produce the benzoyl urea (IX). Cyclization of (IX), followed by benzoyl group cleavage upon treatment with methanolic NaOMe gave the hydroxy imidazolinone (X). This was dehydrated to the imidazolone (V) by means of trifluoroacetic acid. The intermediate (V) was debenzylated to (XII) by reaction with 1-chloroethyl chloroformate, followed by treatment of the resulting (1-chloroethyl) carbamate (XI) with boiling MeOH. The debenzylated piperidine (XII) was finally alkylated with alpha-bromo-m-tolunitrile (XIII) to give the target m-cyanobenzyl derivative.

参考文献No.545069
标题:1-(3-Cyanobenzylpiperidin-4-yl)-5-methyl-4-phenyl-1, 3-dihydroimidazol-2-one: A selective high-affinity antagonist for the human dopamine D(4) receptor with excellent selectivity over ion channels
作者:Carling, R.W.; Moore, K.W.; Moyes, C.R.; Jones, E.A.; Bonner, K.; Emms, F.; Marwood, R.; Patel, S.; Fletcher, A.E.; Beer, M.; Sohal, B.; Pike, A.; Leeson, P.D.
来源:J Med Chem 1999,42(14),2706
合成路线图解说明:

Condensation of 4-amino-1-benzylpiperidine (I) with benzoyl isocyanate gave the benzoyl urea (II), which was subsequently hydrolyzed to urea (III) with NaOH in aqueous methanol. Then, condensation of (III) with 2-hydroxypropiophenone (IV) in the presence of trifluoroacetic acid afforded a mixture of minor amounts of the required imidazolone (V) along with the major undesired regioisomer (VI).

合成路线图解说明:

Aminopiperidine (I) was alkylated with 2-bromopropiophenone (VII), and the resulting unstable aminoketone (VIII) was treated with benzoyl isocyanate to produce the benzoyl urea (IX). Cyclization of (IX), followed by benzoyl group cleavage upon treatment with methanolic NaOMe gave the hydroxy imidazolinone (X). This was dehydrated to the imidazolone (V) by means of trifluoroacetic acid. The intermediate (V) was debenzylated to (XII) by reaction with 1-chloroethyl chloroformate, followed by treatment of the resulting (1-chloroethyl) carbamate (XI) with boiling MeOH. The debenzylated piperidine (XII) was finally alkylated with alpha-bromo-m-tolunitrile (XIII) to give the target m-cyanobenzyl derivative.

Drug Information Express,Drug R&D,Chemical Database,Patent Search.
Copyright © 2006-2026 Drug Future. All rights reserved.Contact Us