【药物名称】
化学结构式(Chemical Structure):
参考文献No.545068
标题:Novel pyrimidine and purine derivatives of L-ascorbic acid: Synthesis and biological evaluation
作者:Raic-Malic, S.; Hergold-Brundic, A.; Nagl, A.; Grdisa, M.; Pavelic, K.; De Clercq, E.; Mintas, M.
来源:J Med Chem 1999,42(14),2673
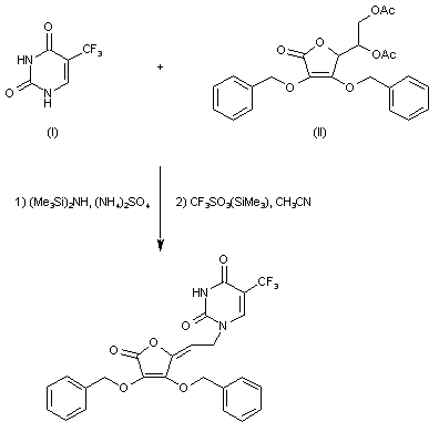
合成路线图解说明:

The title pyrimidine derivative was synthesized by silylation of 5-(trifluoromethyl)uracil (I) with hexamethyldisilazane, followed by condensation with 5,6-diacetyl-2,3-dibenzyl-L-ascorbic acid (II) in the presence of trimethylsilyl triflate.

Drug Information Express,Drug R&D,Chemical Database,Patent Search.
Copyright © 2006-2026 Drug Future. All rights reserved.Contact Us