【药物名称】
化学结构式(Chemical Structure):
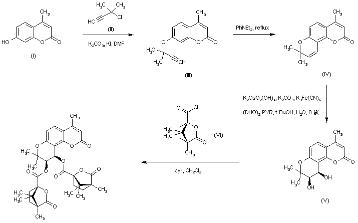
参考文献No.536097
标题:Anti-AIDS agent 33. Synthesis and anti-HIV activity of mono-methyl substituted 3',4'-di-O-(-)-camphanoyl-(+)-cis-khellactone (DCK) analogues
作者:Xie, L.; Takeuchi, Y.; Cosentino, L.M.; Lee, K.-H.
来源:Bioorg Med Chem Lett 1998,8(16),2151
合成路线图解说明:

4-Methyl-7-hydroxycoumarin (I) was alkylated with 3-chloro-3-methyl-1-butyne (II) in the presence of K2CO3 and KI to afford the corresponding aryl propargyl ether (III). Claisen rearrangement of (III) in refluxing diethylaniline furnished the tricyclic system (IV). The target 3'R,4'R-dihydroxylated derivative (V) was obtained by Sharpless asymmetric dihydroxylation of (IV) with hydroquinine 2,5-diphenyl-4,6-pyrimidinediyl diether ((DHQ)2-PYR) as the chiral catalyst. Diol (V) was finally esterified with (-)-S-camphanoyl chloride (VI) to afford the title diester.

合成路线图解说明:

Vilsmeier formylation of orcinol (I) by means of POCl3 and DMF afforded 2,4-dihydroxy-6-methylbenzaldehyde (II). Coumarin (V) was then prepared by Wittig condensation of (II) with carbethoxymethylene triphenylphosphorane (III) followed by intramolecular cyclization in refluxing xylene. Alkylation of (V) with 3-chloro-3-methyl-1-butyne (VI) in the presence of K2CO3 and KI produced the corresponding alpha,alpha-dimethylpropargyl ether (VII), and subsequent thermal cyclization in refluxing N,N-diethylaniline gave rise to the tricyclic system (VIII). Osmium-catalyzed asymmetric dihydroxylation of (VIII) in the presence of the enantioselective ligand hydroquinone 2,5-diphenyl-4,6-pyrimidinediyl diether [(DHQ)2-PYR] produced the required (R,R)-(+)-cis-diol (IX). This was finally acylated with (S)-(-)-camphanic chloride (X) in the presence of pyridine to produce the target dicamphanoyl ester.

参考文献No.545067
标题:Anti-AIDS agents. 37.(1) synthesis and structure-activity relationships of (3'R,4'R)-(+)-cis-khellactone derivatives as novel potent anti-HIV agents
作者:Xie, L.; Takeuchi, Y.; Cosentino, L.M.; Lee, K.H.
来源:J Med Chem 1999,42(14),2662
合成路线图解说明:

4-Methyl-7-hydroxycoumarin (I) was alkylated with 3-chloro-3-methyl-1-butyne (II) in the presence of K2CO3 and KI to afford the corresponding aryl propargyl ether (III). Claisen rearrangement of (III) in refluxing diethylaniline furnished the tricyclic system (IV). The target 3'R,4'R-dihydroxylated derivative (V) was obtained by Sharpless asymmetric dihydroxylation of (IV) with hydroquinine 2,5-diphenyl-4,6-pyrimidinediyl diether ((DHQ)2-PYR) as the chiral catalyst. Diol (V) was finally esterified with (-)-S-camphanoyl chloride (VI) to afford the title diester.

合成路线图解说明:

Vilsmeier formylation of orcinol (I) by means of POCl3 and DMF afforded 2,4-dihydroxy-6-methylbenzaldehyde (II). Coumarin (V) was then prepared by Wittig condensation of (II) with carbethoxymethylene triphenylphosphorane (III) followed by intramolecular cyclization in refluxing xylene. Alkylation of (V) with 3-chloro-3-methyl-1-butyne (VI) in the presence of K2CO3 and KI produced the corresponding alpha,alpha-dimethylpropargyl ether (VII), and subsequent thermal cyclization in refluxing N,N-diethylaniline gave rise to the tricyclic system (VIII). Osmium-catalyzed asymmetric dihydroxylation of (VIII) in the presence of the enantioselective ligand hydroquinone 2,5-diphenyl-4,6-pyrimidinediyl diether [(DHQ)2-PYR] produced the required (R,R)-(+)-cis-diol (IX). This was finally acylated with (S)-(-)-camphanic chloride (X) in the presence of pyridine to produce the target dicamphanoyl ester.

Drug Information Express,Drug R&D,Chemical Database,Patent Search.
Copyright © 2006-2026 Drug Future. All rights reserved.Contact Us