【药物名称】BIA-2-059
化学结构式(Chemical Structure):
参考文献No.36049
标题:Substd. dihydrodibenzo[b,f]azepines, method of their preparation, their use in the treatment of some central nervous system disorders, and pharmaceutical compsns. containing them
作者:Benes, J.; Vieira Araujo Soares da Silva, P.M. (Portela & Ca., SA)
来源:EP 0751129; US 5753646
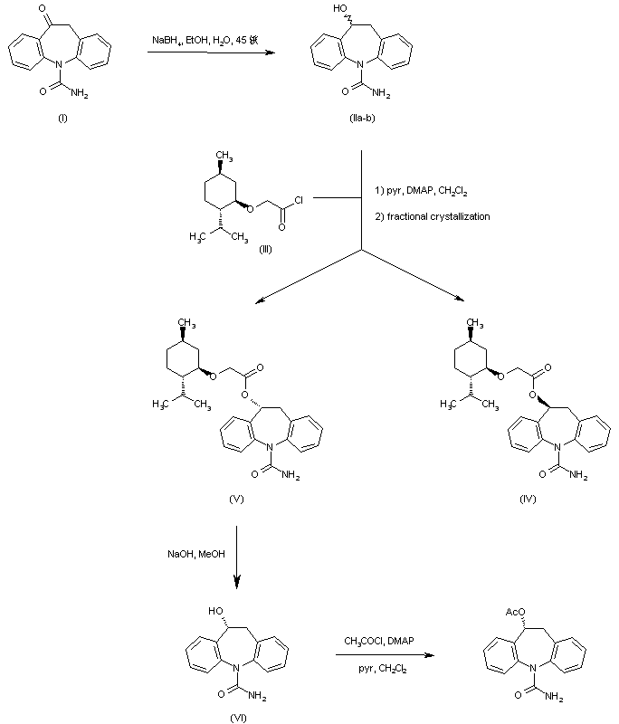
合成路线图解说明:

Oxcarbazepine (I) was reduced with NaBH4 to afford the racemic alcohol (IIa-b). Esterification with (-)-menthoxyacetic acid chloride (III) in the presence of dimethylaminopyridine provided the diastereomeric mixture of esters (IV) and (V), from which the desired isomer (V) was isolated by fractional crystallization from CH2Cl2/EtOAc. Basic hydrolysis of (V) then provided pure (R)-alcohol (VI). Finally, esterification of (VI) with acetyl chloride led to the title acetate ester.

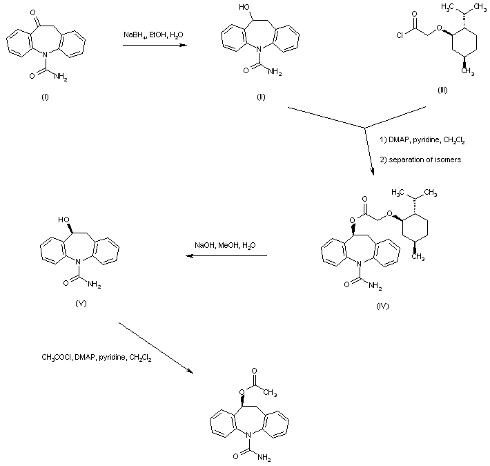
合成路线图解说明:

Reduction of oxcarbazepine (I) using NaBH4 yields the racemic alcohol (II). Resolution of the enantiomers is then achieved by means of fractional crystallization of the diastereomeric esters obtained from alcohol (II) and menthoxyacetyl chloride (III). Alkaline hydrolysis of the desired diastereoisomer (IV) provides the (S)-alcohol (V). This compound is finally converted into the corresponding acetate by esterification with acetyl chloride.

参考文献No.545063
标题:Anticonvulsant and sodium channel-blocking properties of novel 10,11-dihydro-5H-dibenz[b,f]azepine-5-carboxamide derivatives
作者:Benes, J.; Parada, A.; Figueiredo, A.A.; Alves, P.C.; Freitas, A.P.; Learmonth, D.A.; Cunha, R.A.; Garrett, J.; Soares-da-Silva, P.
来源:J Med Chem 1999,42(14),2582
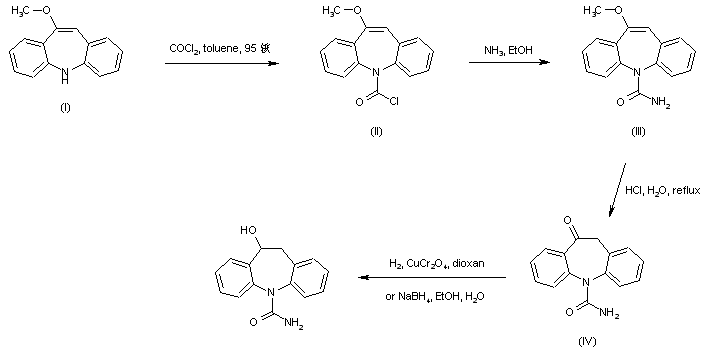
合成路线图解说明:

Reaction of 10-methoxy-5H-dibenzo[b,f]azepine (I) with phosgene in toluene produced the dibenzoazepine-5-carbonyl chloride (II). This was converted to urea (III) upon treatment with ethanolic ammonia. Acidic hydrolysis of the enol ether function of (III) afforded ketone (IV). Then, reduction of the ketone (IV) to the target alcohol was accomplished either by catalytic hydrogenation over copper chromite or by means of NaBH4 in aqueous EtOH.

合成路线图解说明:

Oxcarbazepine (I) was reduced with NaBH4 to afford the racemic alcohol (IIa-b). Esterification with (-)-menthoxyacetic acid chloride (III) in the presence of dimethylaminopyridine provided the diastereomeric mixture of esters (IV) and (V), from which the desired isomer (V) was isolated by fractional crystallization from CH2Cl2/EtOAc. Basic hydrolysis of (V) then provided pure (R)-alcohol (VI). Finally, esterification of (VI) with acetyl chloride led to the title acetate ester.

合成路线图解说明:

Reduction of oxcarbazepine (I) using NaBH4 yields the racemic alcohol (II). Resolution of the enantiomers is then achieved by means of fractional crystallization of the diastereomeric esters obtained from alcohol (II) and menthoxyacetyl chloride (III). Alkaline hydrolysis of the desired diastereoisomer (IV) provides the (S)-alcohol (V). This compound is finally converted into the corresponding acetate by esterification with acetyl chloride.

Drug Information Express,Drug R&D,Chemical Database,Patent Search.
Copyright © 2006-2026 Drug Future. All rights reserved.Contact Us