【药物名称】
化学结构式(Chemical Structure):
参考文献No.545058
标题:2,3-Dihydro-1H,7H-pyrimido[5,6,1-de]acridine-1,3,7-trione derivatives, a class of cytotoxic agents active on multidrug-resistant cell lines: Synthesis, biological evaluation, and structure-activity relationships
作者:Antonini, I.; Polucci, P.; Kelland, L.R.; Menta, E.; Pescalli, N.; Martelli, S.
来源:J Med Chem 1999,42(14),2535
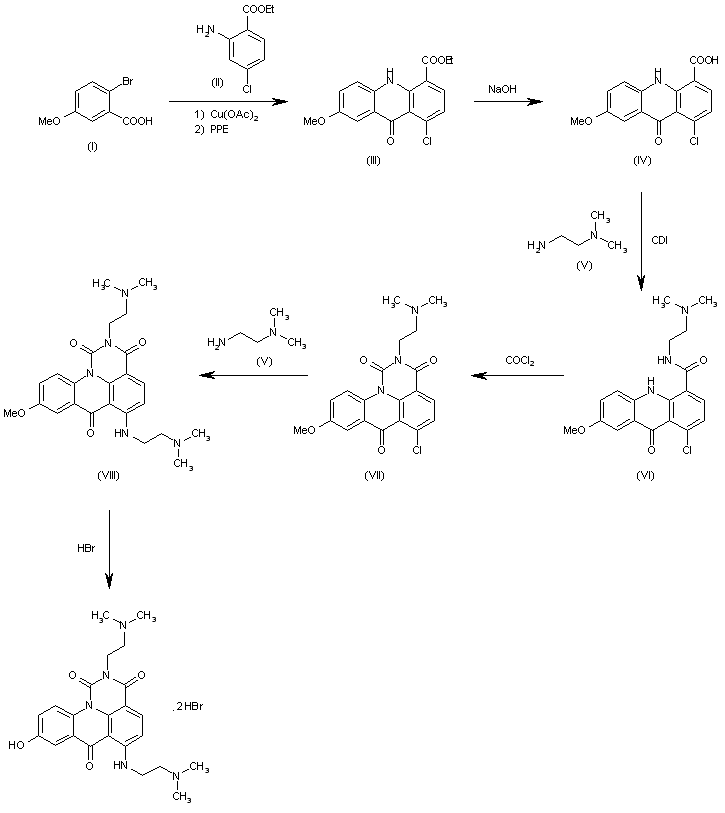
合成路线图解说明:

The reaction of 2-bromo-5-methoxybenzoic acid (I) with ethyl 2-amino-4-chlorobenzoate (II) by means of Cu(OAc)2 and 1-methyl-2-pyrrolidone in DIEA, followed by cyclization by means of polyphosphoric acid ethyl ester in refluxing chloroform gives the acridone (III), which is hydrolyzed with NaOH in refluxing ethanol yielding the carboxylic acid (IV). The condensation of (IV) with N,N-dimethylethylenediamine (V) by means of CDI in DMF affords the corresponding amide (VI), which is cyclized with phosgene in chloroform to provide the pyrimidoacridinetrione (VII). The reaction of (VII) with N,N-dimethyleythylenediamine (V) gives the final intermediate (VIII), which is demethylated with refluxing 48% HBr.

Drug Information Express,Drug R&D,Chemical Database,Patent Search.
Copyright © 2006-2026 Drug Future. All rights reserved.Contact Us