【药物名称】IVL-745
化学结构式(Chemical Structure):
参考文献No.39893
标题:Substd. beta-alanines
作者:Morley, A.D.; Harris, N.V.; Astles, P.C. (Rh鬾e-Poulenc Rorer Ltd.)
来源:WO 9933789
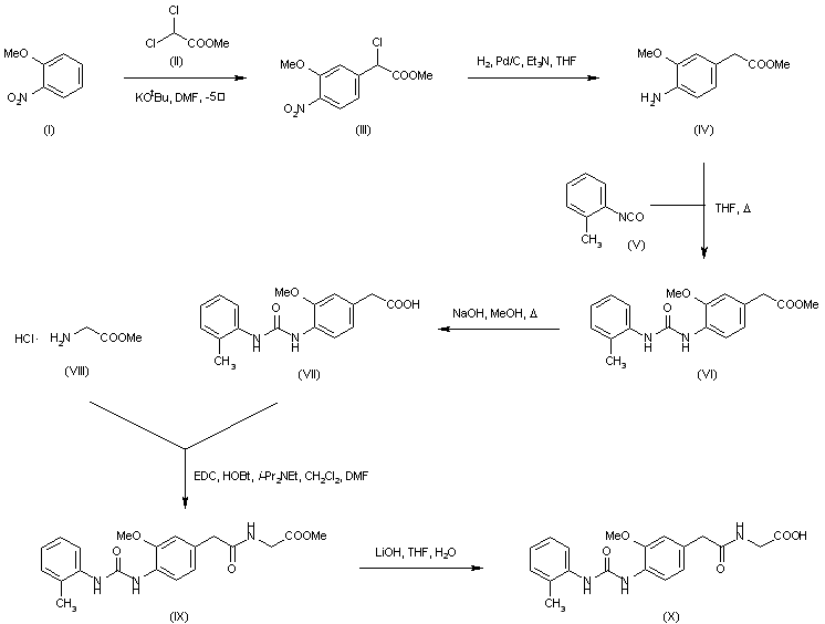
合成路线图解说明:

Reaction of 2-nitroanisole (I) with methyl dichloroacetate (II) in the presence of potassium tert-butoxide at -5 C produced the arylacetic acid derivative (III). Hydrogenation of (III) over Pd/C produced both reduction of the nitro group and hydrogenolysis of the halogen atom to afford amine (IV), which was then condensed with o-tolyl isocyanate (V) giving urea (VI). Basic hydrolysis of the methyl ester of (VI) provided the corresponding acid (VII). This was coupled with glycine methyl ester (VIII) using EDC and HOBt to yield amide (IX). Then, ester (IX) hydrolysis with LiOH gave rise to carboxylic acid.

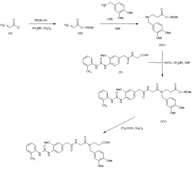
合成路线图解说明:

Treatment of Wang resin with acryloyl chloride (XI) in the presence of diisopropyl ethylamine produced the acrylate bound resin (XII). Conjugate addition of 3,4-dimethoxybenzylamine (XIII) to the acrylate (XII) afforded the beta-amino ester resin (XIV). This was coupled with the intermediate carboxylic acid (X) employing O-(7-azabenzotriazol-1-yl)-1,1,3,3-tetramethyluronium hexafluorophosphate (HATU) to furnish (XV). The title compound was finally liberated from the resin (XV) by cleavage with trifluoroacetic acid.

Drug Information Express,Drug R&D,Chemical Database,Patent Search.
Copyright © 2006-2026 Drug Future. All rights reserved.Contact Us