【药物名称】RPR-118723
化学结构式(Chemical Structure):
参考文献No.39939
标题:5H-Indeno[1,2-b]pyrazine-2,3-dione derivs., their preparation and medicinal products containing them
作者:Jimonet, P.; Ribeill, Y.; Audiau, F.; Aloup, J.-C.; Barreau, M.; Mignani, S.; Genevois-Borella, A.; Damour, D. (Aventis Pharma SA)
来源:US 5922716; WO 9526342
合成路线图解说明:

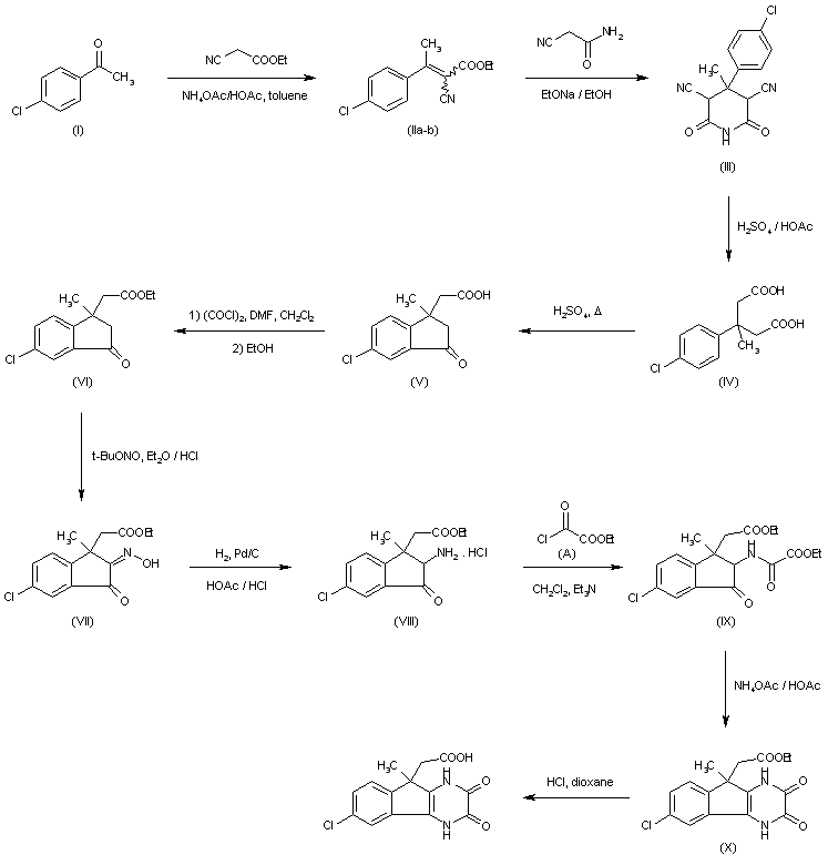
Knoevenagel condensation of ketone (I) with ethyl cyanoacetate followed by Michael addition of cyanoacetamide to the resulting alpha-cyanocinnamate (IIa-b) yields cyclic imide (III). Hydrolysis and decarboxylation of (III) with H2SO4 gives diacid (IV), which is cyclized by means of hot H2SO4 to provide indanone (V). Treatment of (V) with oxalyl chloride in CH2Cl2 and catalytic DMF followed by addition of EtOH affords ethyl ester (VI), which is then converted into oxime (VII) by means of t-BuONO in Et2O and HCl. Hydrogenolysis of (VII) with H2 over Pd/C in HOAc/HCl provides alpha-amino derivative (VIII). By reacting (VIII) with ethyl oxalyl chloride (A), in CH2Cl2 in presence of Et3N, (IX) was obtained and then cyclized in presence of NH4OAc in refluxing HOAc to yield pyrazino derivative (X). Finally (X) is hydrolyzed with HCl in dioxane.

参考文献No.579207
标题:Indeno[1,2-b]pyrazin-2,3-diones: A new class of antagonists at the glycine site of the NMDA receptor with potent in vivo activity
作者:Jimonet, P.; Ribeill, Y.; Bohme, A.; Boireau, A.; Cheve, M.; Damour, D.; Doble, A.; Genevois-Borella, A.; Herman, F.; Imperato, A.; Le Guern, S.; Manfre, F.; Pratt, J.; Randle, J.C.; Stutzmann, J.M.; Mignani, S.
来源:J Med Chem 2000,43(12),2371
合成路线图解说明:

Knoevenagel condensation of ketone (I) with ethyl cyanoacetate followed by Michael addition of cyanoacetamide to the resulting alpha-cyanocinnamate (IIa-b) yields cyclic imide (III). Hydrolysis and decarboxylation of (III) with H2SO4 gives diacid (IV), which is cyclized by means of hot H2SO4 to provide indanone (V). Treatment of (V) with oxalyl chloride in CH2Cl2 and catalytic DMF followed by addition of EtOH affords ethyl ester (VI), which is then converted into oxime (VII) by means of t-BuONO in Et2O and HCl. Hydrogenolysis of (VII) with H2 over Pd/C in HOAc/HCl provides alpha-amino derivative (VIII). By reacting (VIII) with ethyl oxalyl chloride (A), in CH2Cl2 in presence of Et3N, (IX) was obtained and then cyclized in presence of NH4OAc in refluxing HOAc to yield pyrazino derivative (X). Finally (X) is hydrolyzed with HCl in dioxane.

Drug Information Express,Drug R&D,Chemical Database,Patent Search.
Copyright © 2006-2026 Drug Future. All rights reserved.Contact Us