【药物名称】S-23906, S-23906-1
化学结构式(Chemical Structure):
参考文献No.39826
标题:Novel acronycine derivs., preparation method and pharmaceutical compsns.
作者:Pfeiffer, B.; Michel, S.; Koch, M.; Pierre, A.; Renard, P.; Tillequin, F.; Atassi, G. (ADIR et Cie.)
来源:EP 1042326; FR 2772765; WO 9932491
合成路线图解说明:

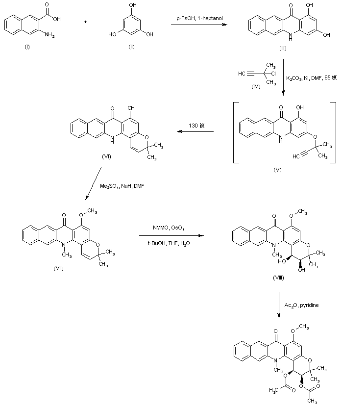
The benzoacridine system (III) was obtained by condensation 3-amino-2-naphthalenecarboxylic acid (I) with phloroglucinol (III) in the presence of p-toluenesulfonic acid in refluxing 1-heptanol. Regioselective O-alkylation of (III) with 3-chloro-3-methylbut-1-yne (IV) in DMF at 65 C gave the intermediate propargyl ether (V), which upon further heating at 130 C underwent Claisen rearrangement to produce the pentacyclic compound (VI). Methylation of (VI) with an excess of dimethyl sulfate in the presence of NaH yielded the O,N-dimethyl derivative (VII). The racemic cis diol (VIII) was obtained by OsO4-catalyzed oxidation of (VII) using N-methylmorpholine-N-oxide. Finally, diol (VIII) esterification with Ac2O in pyridine afforded the title diacetate ester.

参考文献No.579426
标题:Synthesis and cytotoxic and antitumor activity of benzo[b]pyrano[3,2-h]acridin-7-one analogues of acronycine
作者:Costes, N.; Le Deit, H.; Michel, S.; Tillequin, F.; Koch, M.; Pfeiffer, B.; Renard, P.; Leonce, S.; Guilbaud, N.; Kraus-Berthier, L.; Pierre, A.; Atassi, G.
来源:J Med Chem 2000,43(12),2395
合成路线图解说明:

The benzoacridine system (III) was obtained by condensation 3-amino-2-naphthalenecarboxylic acid (I) with phloroglucinol (III) in the presence of p-toluenesulfonic acid in refluxing 1-heptanol. Regioselective O-alkylation of (III) with 3-chloro-3-methylbut-1-yne (IV) in DMF at 65 C gave the intermediate propargyl ether (V), which upon further heating at 130 C underwent Claisen rearrangement to produce the pentacyclic compound (VI). Methylation of (VI) with an excess of dimethyl sulfate in the presence of NaH yielded the O,N-dimethyl derivative (VII). The racemic cis diol (VIII) was obtained by OsO4-catalyzed oxidation of (VII) using N-methylmorpholine-N-oxide. Finally, diol (VIII) esterification with Ac2O in pyridine afforded the title diacetate ester.

Drug Information Express,Drug R&D,Chemical Database,Patent Search.
Copyright © 2006-2026 Drug Future. All rights reserved.Contact Us