【药物名称】SPH-1286
化学结构式(Chemical Structure):
参考文献No.40679
标题:New benzazepine derivs., medicaments containing the same and their use to prepare medicaments
作者:K黣nburg, B.; Fr鰄lich, J.; Jordis, U.; Czollner, L. (Sanochemia Pharmazeutika AG)
来源:WO 9740049
合成路线图解说明:

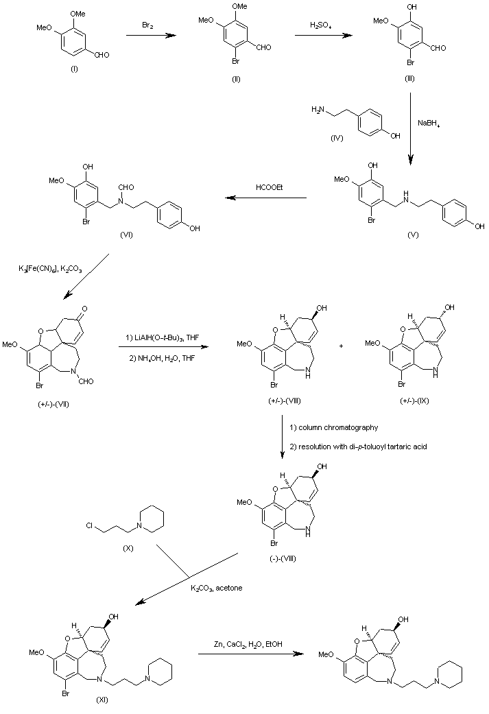
The bromination of 3,4-dimethoxybenzaldehyde (I) with Br2 in acetic acid gives 2-bromo-4,5-dimethoxybenzaldehyde (II), which is selectively demethylated with H2SO4 yielding 2-bromo-5-hydroxy-4-methoxybenzaldehyde (III). The reductocondensation of (III) with 2-(4-hydroxyphenyl)ethylamine (IV) by means of NaBH4 affords the secondary amine (V), which is formylated with ethyl formate in dioxane/DMF giving the formamide (VI). The cyclization of (VI) by means of potassium hexacyanoferrate (III) and K2CO3 in hot toluene yields racemic N-formylbromonarwedine (+/-)(VII), which is reduced with lithium tri-tert-butoxyaluminum hydride furnishing a mixture of N-demethylbromogalanhamine (+/-)(VIII) and N-demethylepibromogalanthamine (+/-)(IX). After chromatographic separation of the two racemic epimers, resolution of racemic (+/-)(VIII) is carried out employing di-p-toluoyl tartaric acid to afford the required levo isomer. Alkylation of (-)(VIII) with 1-(3-chloropropyl)piperidine (X) gives (XI), which is finally converted to the title compound by reductive debromination in the presence of Zn and CaCl2.

参考文献No.563512
标题:Development of a pilot scale process for the anti-Alzheimer drug (-)-galanthamine using large-scale phenolic oxidative coupling and crystallisation-induced chiral conversion
作者:K黣nburg, B.; et al.
来源:Org Process Res Dev 1999,3(6),425
合成路线图解说明:

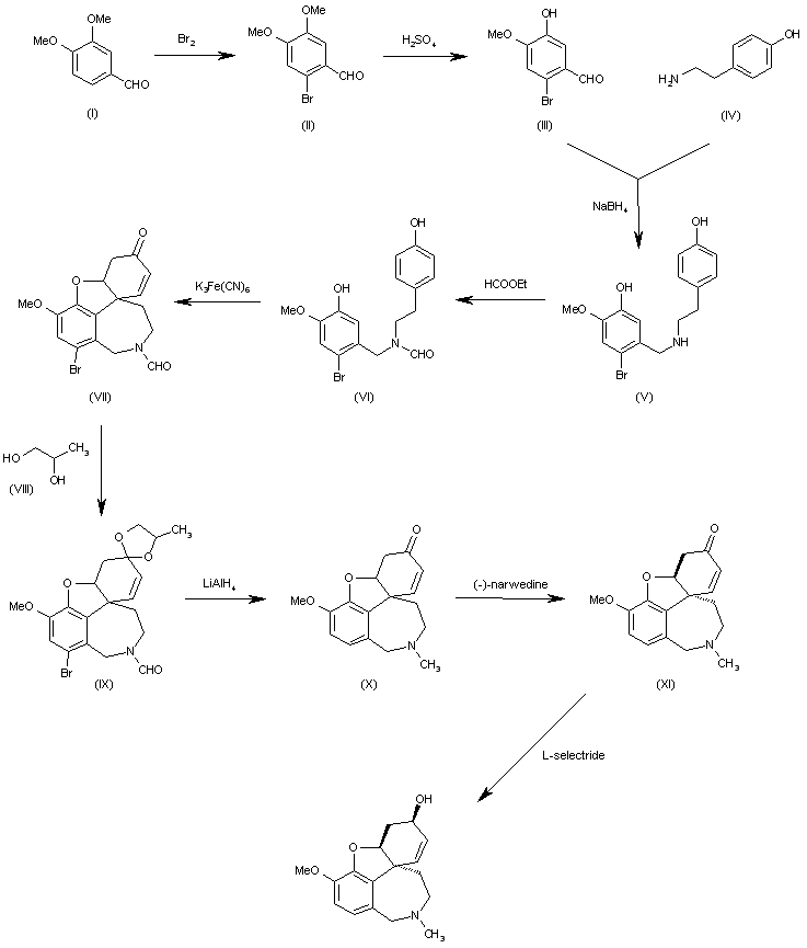
The bromination of 3,4-dimethoxybenzaldehyde (I) with Br2 in methanol gives the 6-bromo-3,4-dimethoxybenzaldehyde (II), which is regioselectively demethylated with conc. H2SO4 yielding 6-bromo-3-hydroxy-4-methoxybenzaldehyde (III). The reductocondensation of (III) with 2-(4-hydroxyphenyl)ethylamine (IV) by means of NaBH4 in ethanol affords the secondary amine (V), which is formylated with ethyl formate and formic acid in dioxane furnishing the formamide (VI). The oxidative cyclization of (VI) by means of potassium ferricyanide and K2CO3 in toluene/water gives the (+/-)-bromoformylnarwedine (VII), which is protected with propyleneglycol (VIII) and TsOH in hot toluene yielding the ketal (IX). The reduction of the formyl group of (IX) with LiAlH4 in THF affords racemic narwedine (X), which is submitted to a crystallization-induced chiral transformation using a catalytic amount of seed crystals of (-)-narwedine in refluxing ethanol containing TEA, an 80% of (-)-narwedine (XI) is obtained. Finally, this compound is stereoselectively reduced to the target compound by means of L-selectride in THF.

合成路线图解说明:

The bromination of 3,4-dimethoxybenzaldehyde (I) with Br2 in acetic acid gives 2-bromo-4,5-dimethoxybenzaldehyde (II), which is selectively demethylated with H2SO4 yielding 2-bromo-5-hydroxy-4-methoxybenzaldehyde (III). The reductocondensation of (III) with 2-(4-hydroxyphenyl)ethylamine (IV) by means of NaBH4 affords the secondary amine (V), which is formylated with ethyl formate in dioxane/DMF giving the formamide (VI). The cyclization of (VI) by means of potassium hexacyanoferrate (III) and K2CO3 in hot toluene yields racemic N-formylbromonarwedine (+/-)(VII), which is reduced with lithium tri-tert-butoxyaluminum hydride furnishing a mixture of N-demethylbromogalanhamine (+/-)(VIII) and N-demethylepibromogalanthamine (+/-)(IX). After chromatographic separation of the two racemic epimers, resolution of racemic (+/-)(VIII) is carried out employing di-p-toluoyl tartaric acid to afford the required levo isomer. Alkylation of (-)(VIII) with 1-(3-chloropropyl)piperidine (X) gives (XI), which is finally converted to the title compound by reductive debromination in the presence of Zn and CaCl2.

Drug Information Express,Drug R&D,Chemical Database,Patent Search.
Copyright © 2006-2026 Drug Future. All rights reserved.Contact Us