【药物名称】NS-2381-[11C], [11C]-NS-2381
化学结构式(Chemical Structure):
参考文献No.33130
标题:8-Azabicyclo[3.2.1]oct-2-ene derivs., their preparation and use
作者:Moldt, P.; Scheel-Kr黦er, J.; Olsen, G.M.; Nielsen, E.O. (NeuroSearch A/S)
来源:EP 0859777; JP 1998512589; WO 9713770
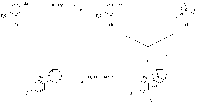
合成路线图解说明:

Lithiation of 4-bromobenzotrifluoride (I) by means of butyllithium provided the organolithium derivative (II), which was condensed with 8-methyl-8-azabicyclo[3.2.1]octan-3-one (III) to give the carbinol adduct (IV). Subsequent dehydration of (IV) employing HCl in AcOH produced the title olefin.

Drug Information Express,Drug R&D,Chemical Database,Patent Search.
Copyright © 2006-2026 Drug Future. All rights reserved.Contact Us