【药物名称】AL-16049
化学结构式(Chemical Structure):
参考文献No.39790
标题:13-Oxa prostaglandins for the treatment of glaucoma and ocular hypertension
作者:Feng, Z.; Hellberg, M.R. (Alcon Laboratories, Inc.)
来源:US 6232344; WO 9932441
合成路线图解说明:

Commercially available Corey aldehyde benzoate (I) was oxidized to carboxylic acid (II) by Jones reagent at 0 C. Subsequent chlorination of (II) with SOCl2 afforded acid chloride (III). The crude acid chloride (III) was condensed with 3-hydroxy-4-methylthiazole-2-thione (IV) to yield the thiohydroxamate ester (V). Decarboxylation of (V) by means of tris(phenylthio)antimony in a flask open to air furnished alcohol (VI). Alkylation of alcohol (VI) with allyl bromide (VII) afforded allyl ether (VIII), which by epoxidation using m-chloroperbenzoic acid provided the epoxide (IX). Regiospecific epoxide opening with the Grignard reagent (X) gave alcohol (XI) as a diastereomeric mixture. The hydroxyl groups of (XI) were then protected as the bis-tetrahydropyranyl ether (XII) using dihydropyran and p-toluenesulfonic acid. Lactone reduction with DIBAL in toluene at -78 C gave the lactol (XIII).

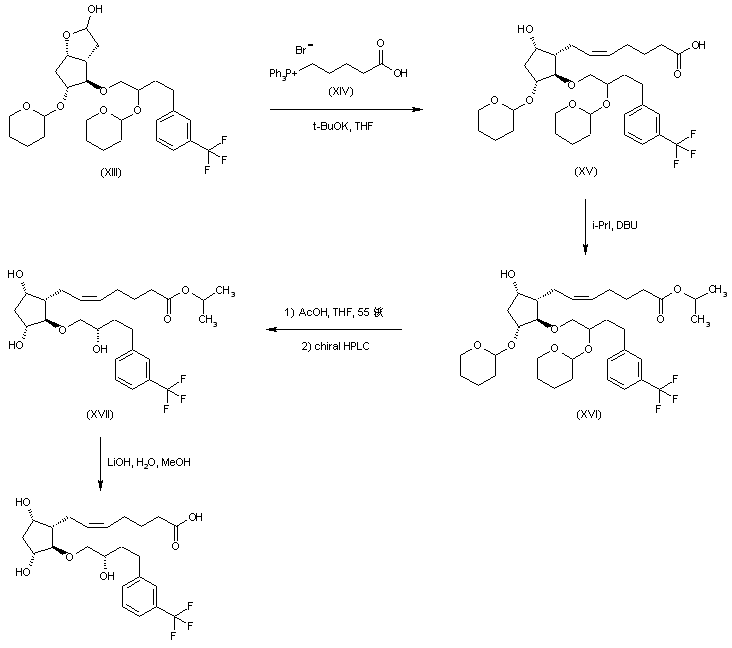
合成路线图解说明:

Wittig reaction of lactol (XIII) with the ylide generated from phosphonium salt (XIV) and potassium tert-butoxide afforded acid (XV), which was subsequently esterified with isopropyl iodide and DBU to give the isopropyl ester (XVI). Cleavage of the tetrahydropyranyl ethers of (XVI) under mildly acidic conditions followed by HPLC separation using a chiral column provided the desired alcohol diastereoisomer (XVII). Finally, hydrolysis of ester (XVII) under basic conditions provided the corresponding free acid.

参考文献No.629839
标题:Design and synthesis of 13-oxa prostaglandin analogs as antiglaucoma agents
作者:Feng, Z.; et al.
来源:222nd ACS Natl Meet (Aug 26 2001, Chicago) 2001,Abst MEDI 236
合成路线图解说明:

Commercially available Corey aldehyde benzoate (I) was oxidized to carboxylic acid (II) by Jones reagent at 0 C. Subsequent chlorination of (II) with SOCl2 afforded acid chloride (III). The crude acid chloride (III) was condensed with 3-hydroxy-4-methylthiazole-2-thione (IV) to yield the thiohydroxamate ester (V). Decarboxylation of (V) by means of tris(phenylthio)antimony in a flask open to air furnished alcohol (VI). Alkylation of alcohol (VI) with allyl bromide (VII) afforded allyl ether (VIII), which by epoxidation using m-chloroperbenzoic acid provided the epoxide (IX). Regiospecific epoxide opening with the Grignard reagent (X) gave alcohol (XI) as a diastereomeric mixture. The hydroxyl groups of (XI) were then protected as the bis-tetrahydropyranyl ether (XII) using dihydropyran and p-toluenesulfonic acid. Lactone reduction with DIBAL in toluene at -78 C gave the lactol (XIII).

合成路线图解说明:

Wittig reaction of lactol (XIII) with the ylide generated from phosphonium salt (XIV) and potassium tert-butoxide afforded acid (XV), which was subsequently esterified with isopropyl iodide and DBU to give the isopropyl ester (XVI). Cleavage of the tetrahydropyranyl ethers of (XVI) under mildly acidic conditions followed by HPLC separation using a chiral column provided the desired alcohol diastereoisomer (XVII). Finally, hydrolysis of ester (XVII) under basic conditions provided the corresponding free acid.

Drug Information Express,Drug R&D,Chemical Database,Patent Search.
Copyright © 2006-2026 Drug Future. All rights reserved.Contact Us