【药物名称】
化学结构式(Chemical Structure):
参考文献No.544263
标题:Novel cryptophycin antitumor agents: Synthesis and cytotoxicity of fragment "B" analogues
作者:Patel, V.F.; Andis, S.L.; Kennedy, J.H.; Ray, J.E.; Schultz, R.M.
来源:J Med Chem 1999,42(14),2588
合成路线图解说明:

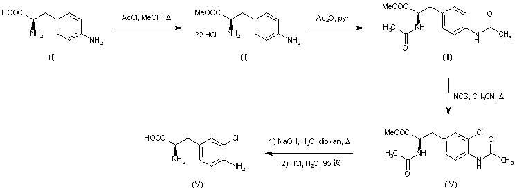
The intermediate 3-chloro-4-amino-D-phenylalanine (V) was synthesized from 4-amino-D-phenylalanine (I). Esterification with a methanolic solution of HCl, prepared from MeOH and AcCl, gave methyl ester (II), and subsequent acylation by means of Ac2O and pyridine afforded diacetamide (III). Halogenation of (III) using N-chlorosuccinimide produced chloride (IV). Basic hydrolysis of (IV) cleaved the methyl ester and one of the acetyl groups, and subsequent treatment with strong acid removed the remaining acetyl group yielding (V).

合成路线图解说明:

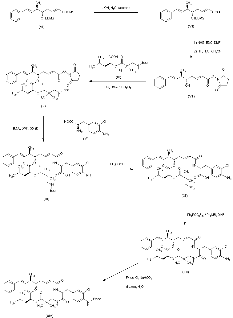
The known methyl ester (VI was hydrolyzed to carboxylic acid (VII) with LiOH in aqueous acetone. After conversion of (VII) to the corresponding succinimidyl ester with N-hydroxysuccinimide and EDC, fluoride-mediated desilylation under acidic conditions furnished alcohol (VIII). Subsequent esterification of (VIII) with the protected amino acid (IX) using EDC and a catalytic amount of DMAP provided intermediate (X). Then, chemoselective coupling of (X) with amino acid (V) was achieved in the presence of N,O-bis(trimethylsilyl)acetamide (BSA) in hot DMF to afford the acyclic precursor (XI). After removal of the Boc group of (XI) with trifluoroacetic acid, the resulting amino acid (XII) was converted to the cyclic depsipeptide (XIII) by macrolactonization under high dilution conditions in the presence of pentafluorophenyl diphenylphosphinate. The aryl amine of (XIII) was protected as the Fmoc derivative (XIV).

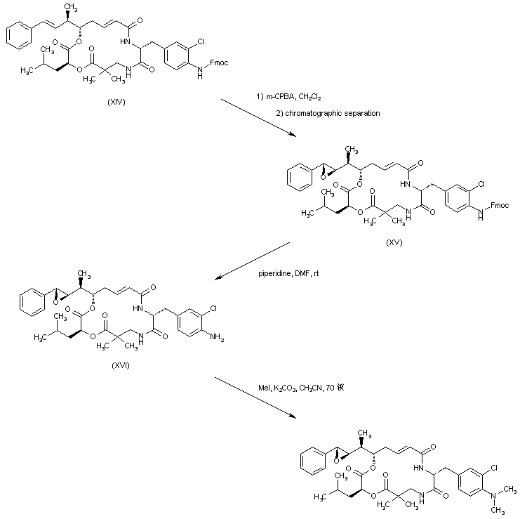
合成路线图解说明:

Further epoxidation of (XIV) with m-CPBA led to a mixture of alpha and beta diastereomeric epoxides, which were separated by RP-HPLC to afford the major beta-epoxide (XV). Deprotection of (XV) with piperidine gave aniline (XVI). This was finally alkylated using iodomethane in the presence of K2CO3 to produce the title dimethylamine.

Drug Information Express,Drug R&D,Chemical Database,Patent Search.
Copyright © 2006-2026 Drug Future. All rights reserved.Contact Us