【药物名称】
化学结构式(Chemical Structure):
参考文献No.544922
标题:Synthesis and serotonergic activity of substituted 2,N-benzylcarboxamido-5-(2-ethyl-1-dioxoimidazolidinyl)-N,N-dimethyltryptamine derivatives: Novel antagonists for the vascular 5-HT1B-like receptor
作者:Moloney, G.P.; Martin, G.R.; Mathews, N.; Milne, A.; Hobbs, H.; Dodsworth, S.; Sang, P.Y.; Knight, C.; Williams, M.; Maxwell, M.; Glen, R.C.
来源:J Med Chem 1999,42(14),2504
合成路线图解说明:

The condensation of 2-(4-nitrophenyl)ethanol (I) with 5,5-dimethylimidazolidine-2,4-dione (II) by means of PPh3 and DIAD in THF gives 5,5-dimethyl-3-[2-(4-nitrophenyl)ethyl]imidazolidine-2,4-dione (III), which is reduced with H2 over Pd/C in ethanol yielding the 4-aminophenyl derivative (IV). The condensation of (IV) with 2-(3-chloropropyl)malonic acid diethyl ester (V) by means of NaNO2 and NaOAc in water affords the hydrazone (VI), which is isomerized and cyclized in refluxing butanol giving the indolecarboxylic ester (VII). The methylation of the free amino group of (VII) with formaldehyde and NaCNBH3 yields the dimethylamino derivative (VIII), which is transesterified with benzyl alcohol and titanium tetraisopropoxide affording the benzyl ester (IX). The debenzylation of (IX) with H2 over Pd/C gives the free acid (X), which is finally converted into the target amide with benzylamine, TBTU and DIPEA in DMF.

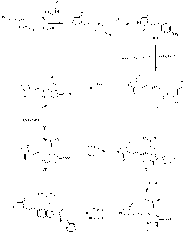
合成路线图解说明:

The condensation of 2-(4-nitrophenyl)ethanol (I) with imidazolidine-2,4-dione (II) by means of PPh3 and DIAD in THF gives 3-[2-(4-nitrophenyl)ethyl]imidazolidine-2,4-dione (III), which is reduced with H2 over Pd/C in ethanol yielding the 4-aminophenyl derivative (IV). The condensation of (IV) with 2-(3-chloropropyl)malonic acid diethyl ester (V) by means of NaNO2 and NaOAc in water affords the hydrazone (VI), which is isomerized and cyclized in refluxing butanol giving the indolecarboxylic ester (VII). The methylation of the free amino group of (VII) with formaldehyde and NaCNBH3 yields the dimethylamino derivative (VIII) (1), which is transesterified with benzyl alcohol and titanium tetraisopropoxide affording the benzyl ester (IX). The debenzylation of (IX) with H2 over Pd/C gives the free acid (X), which is finally converted into the target amide with benzylamine, TBTU and DIPEA in DMF.

参考文献No.607160
标题:A novel series of 2,5-substituted tryptamine derivatives as vascular 5HT(1B/1D) receptor antagonists
作者:Moloney, G.P.; Robertson, A.D.; Martin, G.R.; MacLennan, S.; Mathews, N.; Dodsworth, S.; Sang, P.Y.; Knight, C.; Glen, R.
来源:J Med Chem 1997,40(15),2347-62
合成路线图解说明:

The condensation of 2-(4-nitrophenyl)ethanol (I) with 5,5-dimethylimidazolidine-2,4-dione (II) by means of PPh3 and DIAD in THF gives 5,5-dimethyl-3-[2-(4-nitrophenyl)ethyl]imidazolidine-2,4-dione (III), which is reduced with H2 over Pd/C in ethanol yielding the 4-aminophenyl derivative (IV). The condensation of (IV) with 2-(3-chloropropyl)malonic acid diethyl ester (V) by means of NaNO2 and NaOAc in water affords the hydrazone (VI), which is isomerized and cyclized in refluxing butanol giving the indolecarboxylic ester (VII). The methylation of the free amino group of (VII) with formaldehyde and NaCNBH3 yields the dimethylamino derivative (VIII), which is transesterified with benzyl alcohol and titanium tetraisopropoxide affording the benzyl ester (IX). The debenzylation of (IX) with H2 over Pd/C gives the free acid (X), which is finally converted into the target amide with benzylamine, TBTU and DIPEA in DMF.

合成路线图解说明:

The condensation of 2-(4-nitrophenyl)ethanol (I) with imidazolidine-2,4-dione (II) by means of PPh3 and DIAD in THF gives 3-[2-(4-nitrophenyl)ethyl]imidazolidine-2,4-dione (III), which is reduced with H2 over Pd/C in ethanol yielding the 4-aminophenyl derivative (IV). The condensation of (IV) with 2-(3-chloropropyl)malonic acid diethyl ester (V) by means of NaNO2 and NaOAc in water affords the hydrazone (VI), which is isomerized and cyclized in refluxing butanol giving the indolecarboxylic ester (VII). The methylation of the free amino group of (VII) with formaldehyde and NaCNBH3 yields the dimethylamino derivative (VIII) (1), which is transesterified with benzyl alcohol and titanium tetraisopropoxide affording the benzyl ester (IX). The debenzylation of (IX) with H2 over Pd/C gives the free acid (X), which is finally converted into the target amide with benzylamine, TBTU and DIPEA in DMF.

Drug Information Express,Drug R&D,Chemical Database,Patent Search.
Copyright © 2006-2026 Drug Future. All rights reserved.Contact Us