【药物名称】SGI-101
化学结构式(Chemical Structure):
参考文献No.40299
标题:Design of drugs involving receptor-ligand-DNA interactions
作者:Hendry, L.B.
来源:WO 9514791
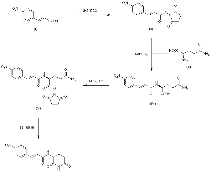
合成路线图解说明:

4-Nitrocinnamic acid (I) was activated as the succinimidyl ester (II) upon treatment with N-hydroxysuccinimide (NHS) and dicyclohexylcarbodiimide (DCC). Subsequent coupling of (II) with L-glutamine (III) afforded the N-acyl glutamine (IV). A second reaction of (IV) with NHS and DCC produced the active ester (V). Finally, thermal cyclization of (V), with concomitant racemization, led to the desired 2,6-piperidinedione.

参考文献No.40300
标题:Computer-based design and screening of molecules using DNA interactions
作者:Hendry, L.B.
来源:US 5888741
合成路线图解说明:

4-Nitrocinnamic acid (I) was activated as the succinimidyl ester (II) upon treatment with N-hydroxysuccinimide (NHS) and dicyclohexylcarbodiimide (DCC). Subsequent coupling of (II) with L-glutamine (III) afforded the N-acyl glutamine (IV). A second reaction of (IV) with NHS and DCC produced the active ester (V). Finally, thermal cyclization of (V), with concomitant racemization, led to the desired 2,6-piperidinedione.

Drug Information Express,Drug R&D,Chemical Database,Patent Search.
Copyright © 2006-2026 Drug Future. All rights reserved.Contact Us