【药物名称】GW-544, GW-409544X
化学结构式(Chemical Structure):
参考文献No.42242
标题:Substd. oxazoles and thiazoles derivs. as hPPAR gamma and hPPAR alpha activators
作者:Oplinger, J.A.; Dezube, M.; Willson, T.M.; Collins, J.L. (Glaxo Group Ltd.)
来源:EP 1102757; WO 0008002
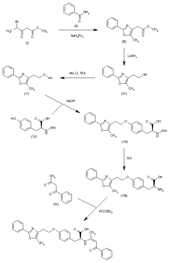
合成路线图解说明:

The cyclization of methyl 4-bromo-3-oxopentanoate (I) with benzamide (II) and sodium hydrogen phosphate in refluxing ethanol gives methyl 2-(5-methyl-2-phenyloxazol-4-yl)acetate (III), which is reduced with LiAlH4 in THF to yield the ethanol derivative (IV). The reaction of (IV) with methanesulfonyl chloride and TEA in dichloromethane affords the mesylate (V), which is condensed with N-(tert-butoxycarbonyl)-L-tyrosine (VI) by means of NaOH in hot DMSO/water to provide the 4-O-substituted tyrosine (VII), which is deprotected by means of HCl in dioxane to give intermediate (VIII) with a free amino group. Finally, this compound is condensed with benzoylacetone (IX) by means of trimethyl orthoformate in refluxing methanol to afford the target N-substituted tyrosine derivative.

Drug Information Express,Drug R&D,Chemical Database,Patent Search.
Copyright © 2006-2026 Drug Future. All rights reserved.Contact Us