【药物名称】
化学结构式(Chemical Structure):
参考文献No.541733
标题:Subtype-selective N-methyl-D-aspartate receptor antagonists: Synthesis and biological evaluation of 1-(arylakynyl)-4-benzylpiperidines
作者:Wright, J.L.; Gregory, T.F.; Bigge, C.F.; Boxer, P.A.; Serpa, K.; Meltzer, L.T.; Wise, L.D.; Cai, S.X.; Hawkinson, J,E.; Konkoy, C.S.; Whittemore, E.R.; Woodward, R.M.; Zhou, Z.L.
来源:J Med Chem 1999,42(13),2469
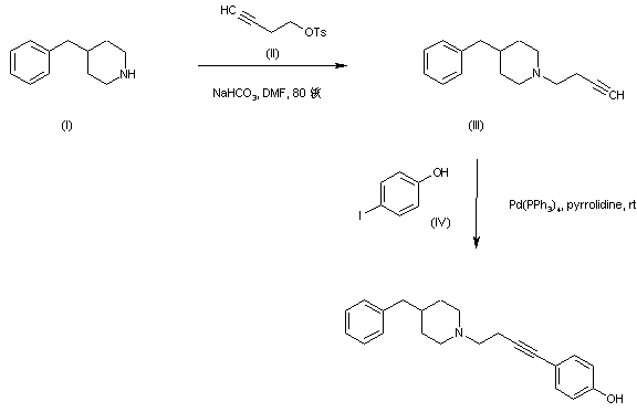
合成路线图解说明:

4-Benzylpiperidine (I) was alkylated with butynyl tosylate (II) to afford the N-butynyl piperidine (III). Subsequent coupling of (III) with 4-iodophenol (IV) in the presence of Pd(PPh3)4 in pyrrolidine produced the corresponding butynyl phenol.

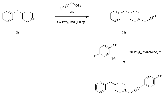
合成路线图解说明:

4-Benzylpiperidine (I) was alkylated with propargyl tosylate (II) to afford the N-propynyl piperidine (III). Subsequent coupling of (III) with 4-iodophenol (IV) in the presence of Pd(PPh3)4 in pyrrolidine produced the corresponding propynyl phenol.

Drug Information Express,Drug R&D,Chemical Database,Patent Search.
Copyright © 2006-2026 Drug Future. All rights reserved.Contact Us