【药物名称】
化学结构式(Chemical Structure):
参考文献No.543491
标题:Synthesis and analgesic activity of 2-methyl-2-[1-(3-benzoyl-4-substituted-1,4-dihydropyridyl)]acetic acid methyl esters, acetic acids, and acetamides
作者:Agudoawu, S.A.; et al.
来源:Arch Pharm 1999,332(6),213
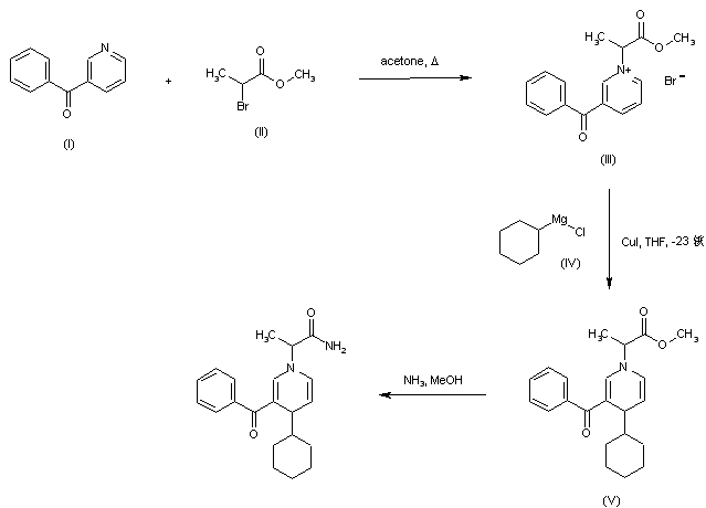
合成路线图解说明:

Alkylation of 3-benzoylpyridine (I) with methyl 2-bromopropionate (II) in refluxing acetone afforded pyridinium salt (III). The subsequent regiospecific copper-catalyzed condensation of (III) with cyclohexylmagesium chloride (IV) yielded dihydropyridine (V). Finally, ammonolysis of the methyl acetate ester of (V) provided the title amide.

Drug Information Express,Drug R&D,Chemical Database,Patent Search.
Copyright © 2006-2026 Drug Future. All rights reserved.Contact Us