【药物名称】
化学结构式(Chemical Structure):
参考文献No.543492
标题:Synthesis and biological activities of C-2, N-9 substituted 6-benzylaminopurine derivatives as cyclin-dependent kinase inhibitor
作者:Woo, E.-R.; Baek, D.J.; Lee, s.-C.; Hong, C.Y.; Lee, K.-S.; Yang, B.-S.; Cho, J.-H.; Oh, C.-H.
来源:Arch Pharm 1999,332(6),187
合成路线图解说明:

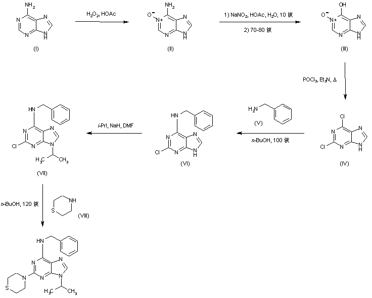
Adenine (I) was oxidized with hydrogen peroxide in aqueous acetic acid to give adenine 1-N-oxide (II). Diazotization of (II) with sodium nitrite and acetic acid, followed by hydrolysis of the diazonium salt provided hypoxanthine 1-N-oxide (III). 2,6-Dichloropurine (IV) was then obtained by treatment of (III) with phosphoryl chloride in the presence of triethylamine. Displacement of the 6-chlorine atom of (IV) by benzylamine (V) in boiling n-butanol yielded 6-benzylamino-2-chloropurine (VI), which was subsequently alkylated at the 9-N with isopropyl iodide and NaH to give (VII). Finally, the remaining 2-chloro atom of (VII) was displaced by thiomorpholine (VIII) to furnish the title compound.

Drug Information Express,Drug R&D,Chemical Database,Patent Search.
Copyright © 2006-2026 Drug Future. All rights reserved.Contact Us