【药物名称】Cyclobenzaprine hydrochloride, Flexiban, Flexeril
化学结构式(Chemical Structure):
参考文献No.47805
标题:5-(3'-Dimethylamino-2'-methylpropyl)dibenzocycloheptenes
作者:Vilani, F.J. (Schering Corp.)
来源:US 3409640
合成路线图解说明:

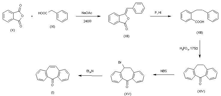
The starting product dibenzo[a,d]cyclohepta-1,4,6-triene-5-one (I) is prepared by condensation of phthalic anhydride (X) with phenylacetic acid (XI) by means of sodium acetate at 240 C that gives benzalphthalide (XII). This compound is reduced with red phosphorus in refluxing aqueous HI yielding 2-(2-phenylethyl)benzoic acid (XIII), which is then cyclized with polyphosphoric acid at 175 C afforing dibenzo[a,d]cyclohepta-1,4-diene-5-one (XIV). The ketone (XIV) is brominated with NBS in CCl4 to the bromo ketone (XV) and finally dehydrobrominated with triethylamine.

合成路线图解说明:

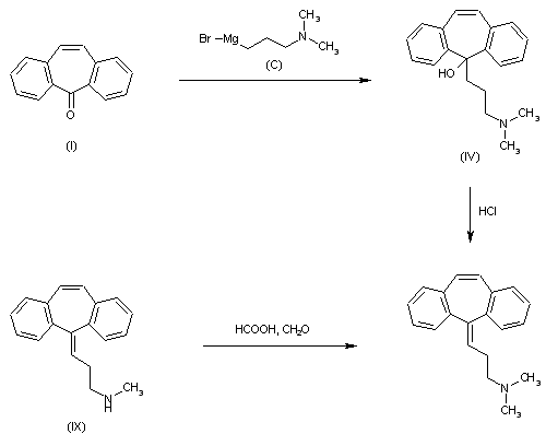
The Grignard reaction of dibenzo[a,d]cyclohepta-1,4,6-triene-5-one (I) with dimethylaminopropyl magnesium (C) chloride in ethyl ether gives 5-hydroxy-5-(3-dimethylaminopropyl)dibenzo[a,d]cyclohepta-1,4,6-triene (IV), which is then treated with HCl in refluxing acetic acid. Alternatively, it can also be obtained by methylation of 5-(3-methylaminopropylidene)dibenzo[a,d]cyclohepta-1,4,6-triene (IX) with formic acid and formaldehyde at 100 C.

参考文献No.47806
标题:A process for the manufacture of tricyclic amines
作者:Schmitt, G. (F. Hoffmann-La Roche AG)
来源:BE 0636000; CH 385191; DE 1468006; FR 1366413; GB 990105
合成路线图解说明:

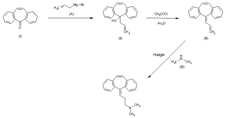
The Grignard reaction of dibenzo[a,d]cyclohepta-1,4,6-triene-5-one (I) with allyl magnesium bromide (A) in ethyl ether gives 5-hydroxy-5-allyldibenzo[a,d]cyclohepta-1,4,6-triene (II), which is dehydrated with acetic anhydride and acetyl chloride at 90 C yielding 5-propenylidenedibenzo[a,d]cyclohepta-1,4,6-triene (III). Finally, this compound is treated with phenylmagnesium bromide and dimethylamine (B) at 80 C.

参考文献No.701521
标题:
作者:Protiva, M.; Vera, S.
来源:CZ 136585
合成路线图解说明:

The Grignard reaction of dibenzo[a,d]cyclohepta-1,4,6-triene-5-one (I) with dimethylaminopropyl magnesium (C) chloride in ethyl ether gives 5-hydroxy-5-(3-dimethylaminopropyl)dibenzo[a,d]cyclohepta-1,4,6-triene (IV), which is then treated with HCl in refluxing acetic acid. Alternatively, it can also be obtained by methylation of 5-(3-methylaminopropylidene)dibenzo[a,d]cyclohepta-1,4,6-triene (IX) with formic acid and formaldehyde at 100 C.

参考文献No.800654
标题:Cyclobenzaprine
作者:Roberts, P.J.; Casta馿r, J.
来源:Drugs Fut 1977,2(5),299
合成路线图解说明:

The starting product dibenzo[a,d]cyclohepta-1,4,6-triene-5-one (I) is prepared by condensation of phthalic anhydride (X) with phenylacetic acid (XI) by means of sodium acetate at 240 C that gives benzalphthalide (XII). This compound is reduced with red phosphorus in refluxing aqueous HI yielding 2-(2-phenylethyl)benzoic acid (XIII), which is then cyclized with polyphosphoric acid at 175 C afforing dibenzo[a,d]cyclohepta-1,4-diene-5-one (XIV). The ketone (XIV) is brominated with NBS in CCl4 to the bromo ketone (XV) and finally dehydrobrominated with triethylamine.

合成路线图解说明:

The Grignard reaction of dibenzo[a,d]cyclohepta-1,4,6-triene-5-one (I) with allyl magnesium bromide (A) in ethyl ether gives 5-hydroxy-5-allyldibenzo[a,d]cyclohepta-1,4,6-triene (II), which is dehydrated with acetic anhydride and acetyl chloride at 90 C yielding 5-propenylidenedibenzo[a,d]cyclohepta-1,4,6-triene (III). Finally, this compound is treated with phenylmagnesium bromide and dimethylamine (B) at 80 C.

合成路线图解说明:

The Grignard reaction of dibenzo[a,d]cyclohepta-1,4,6-triene-5-one (I) with dimethylaminopropyl magnesium (C) chloride in ethyl ether gives 5-hydroxy-5-(3-dimethylaminopropyl)dibenzo[a,d]cyclohepta-1,4,6-triene (IV), which is then treated with HCl in refluxing acetic acid. Alternatively, it can also be obtained by methylation of 5-(3-methylaminopropylidene)dibenzo[a,d]cyclohepta-1,4,6-triene (IX) with formic acid and formaldehyde at 100 C.

合成路线图解说明:

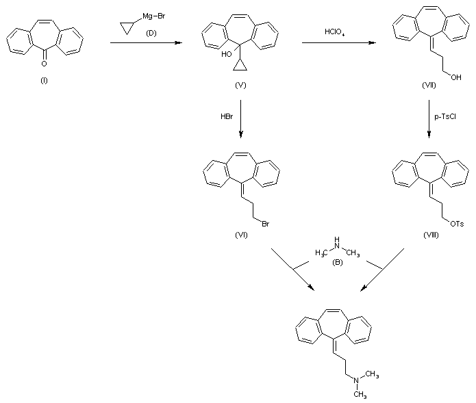
The Grignard reaction of dibenzo[a,d]cyclohepta-1,4,6-triene-5-one (I) with cyclopropyl magnesium bromide (D) in THF gives 5-hydroxy-5-cyclopropyldibenzo[a,d]cyclohepta-1,4,6-triene (V), which is then treated with HBr in acetic acid to yield 5-(3-bromopropylidene)dibenzo[a,d]cyclohepta-1,4,6-triene (VI). Finally, (VI) is treated with dimethylamine (B) in benzene at 95 C. The hydroxycompound (V), obtained as before, is treated with HClO4 in dioxane to yield 5-(3-hydroxypropylidene)dibenzo[a,d]cyclohepta-1,4,6-triene (VII), which is then treated with p-toluenesulfonyl chloride in pyridine to afford the tosyl derivate (VIII). Finally, (VIII) is treated with dimethylamine (B) in benzene at 100 C.

参考文献No.800657
标题:Nouveaux d閞iv閟 de dibenzocyclohept鑞es et leur pr閜aration
作者:Hoffsommer, R.D. Jr.; et al.
来源:BE 0631012
合成路线图解说明:

The Grignard reaction of dibenzo[a,d]cyclohepta-1,4,6-triene-5-one (I) with cyclopropyl magnesium bromide (D) in THF gives 5-hydroxy-5-cyclopropyldibenzo[a,d]cyclohepta-1,4,6-triene (V), which is then treated with HBr in acetic acid to yield 5-(3-bromopropylidene)dibenzo[a,d]cyclohepta-1,4,6-triene (VI). Finally, (VI) is treated with dimethylamine (B) in benzene at 95 C. The hydroxycompound (V), obtained as before, is treated with HClO4 in dioxane to yield 5-(3-hydroxypropylidene)dibenzo[a,d]cyclohepta-1,4,6-triene (VII), which is then treated with p-toluenesulfonyl chloride in pyridine to afford the tosyl derivate (VIII). Finally, (VIII) is treated with dimethylamine (B) in benzene at 100 C.

参考文献No.800658
标题:Dibenzocyclohept鑞es
作者:Wendler, N.L.
来源:BE 0633316
合成路线图解说明:

The Grignard reaction of dibenzo[a,d]cyclohepta-1,4,6-triene-5-one (I) with cyclopropyl magnesium bromide (D) in THF gives 5-hydroxy-5-cyclopropyldibenzo[a,d]cyclohepta-1,4,6-triene (V), which is then treated with HBr in acetic acid to yield 5-(3-bromopropylidene)dibenzo[a,d]cyclohepta-1,4,6-triene (VI). Finally, (VI) is treated with dimethylamine (B) in benzene at 95 C. The hydroxycompound (V), obtained as before, is treated with HClO4 in dioxane to yield 5-(3-hydroxypropylidene)dibenzo[a,d]cyclohepta-1,4,6-triene (VII), which is then treated with p-toluenesulfonyl chloride in pyridine to afford the tosyl derivate (VIII). Finally, (VIII) is treated with dimethylamine (B) in benzene at 100 C.

Drug Information Express,Drug R&D,Chemical Database,Patent Search.
Copyright © 2006-2026 Drug Future. All rights reserved.Contact Us