【药物名称】GW-1929
化学结构式(Chemical Structure):
参考文献No.34208
标题:Substd. 4-hydroxy-phenylalkanoic acid derivs. with agonist activity to PPAR-gamma
作者:Willson, T.M.; Mook, R.A. Jr.; Kaldor, I.; Henke, B.R.; Deaton, D.N.; Collins, J.L.; Cobb, J.E.; Brackeen, M.; Sharp, M.J.; O'Callaghan, J.M.; Erickson, G.A.; Boswell, G.E. (Glaxo Wellcome plc)
来源:EP 0888317; JP 2000507216; WO 9731907
合成路线图解说明:

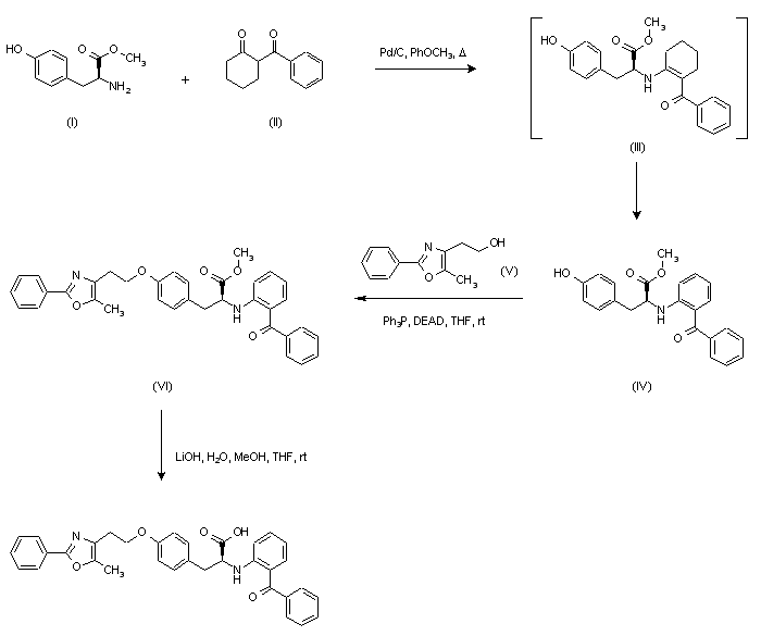
Condensation of L-tyrosine methyl ester (I) with 2-benzoylcyclohexanone (II) in the presence of Pd/C in boiling anisole produced the vinylogous amide intermediate (III) which, in the reaction conditions, experienced a dehydrogenation to furnish benzophenone (IV). Then, coupling of (IV) with 2-(5-methyl-2-phenyloxazol-4-yl)ethanol (V) under Mitsunobu conditions afforded ether (VI). Finally, the ester function of (VI) was hydrolyzed with LiOH to give the title acid.

合成路线图解说明:

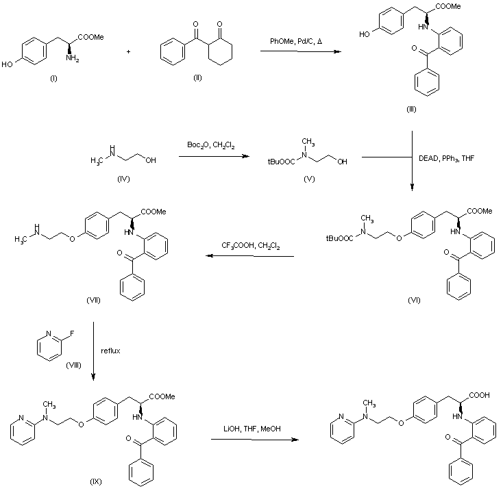
The 2-aminobenzophenone derivative (III) was prepared by condensation of L-tyrosine methyl ester (I) with 2-benzoylcyclohexanone (II) in refluxing anisole, with concomitant dehydrogenation in the presence of Pd/C. Subsequent Mitsunobu coupling of (III) with 2-(N-Boc-N-methylamino)ethanol (V), prepared from aminoalcohol (IV) and Boc2O, afforded the Boc-protected aminoethyl ether (VI). After removal of the Boc group of (VI) by treatment with trifluoroacetic acid, condensation of the resulting secondary amine (VII) with 2-fluoropyridine (VIII) yielded the 2-aminopyridine derivative (IX). Finally, the methyl ester group of (IX) was hydrolyzed to the title carboxylic acid using LiOH.

参考文献No.482597
标题:N-(2-Benzoylphenyl)-L-tyrosine PPARgamma agonists. 1. Discovery of a novel serieis of potent antihyperglycemic and antihyperlipidemic agents
作者:Henke, B.R.; Blanchard, S.G.; Brackeen, M.F.; Brown, K.K.; Cobb, J.E.; Collins, J.L.; Harrington, W.W. Jr.; Hashim, M.A.; Hull-Ryde, E.A.; Kaldor, I.; Kliewer, S.A.; Lake, D.H.; Leesnitzer, L.M.; Lehmann, J.M.; Lenhard, J.M.; et al.
来源:J Med Chem 1998,41(25),5020
合成路线图解说明:

Condensation of L-tyrosine methyl ester (I) with 2-benzoylcyclohexanone (II) in the presence of Pd/C in boiling anisole produced the vinylogous amide intermediate (III) which, in the reaction conditions, experienced a dehydrogenation to furnish benzophenone (IV). Then, coupling of (IV) with 2-(5-methyl-2-phenyloxazol-4-yl)ethanol (V) under Mitsunobu conditions afforded ether (VI). Finally, the ester function of (VI) was hydrolyzed with LiOH to give the title acid.

合成路线图解说明:

The 2-aminobenzophenone derivative (III) was prepared by condensation of L-tyrosine methyl ester (I) with 2-benzoylcyclohexanone (II) in refluxing anisole, with concomitant dehydrogenation in the presence of Pd/C. Subsequent Mitsunobu coupling of (III) with 2-(N-Boc-N-methylamino)ethanol (V), prepared from aminoalcohol (IV) and Boc2O, afforded the Boc-protected aminoethyl ether (VI). After removal of the Boc group of (VI) by treatment with trifluoroacetic acid, condensation of the resulting secondary amine (VII) with 2-fluoropyridine (VIII) yielded the 2-aminopyridine derivative (IX). Finally, the methyl ester group of (IX) was hydrolyzed to the title carboxylic acid using LiOH.

合成路线图解说明:

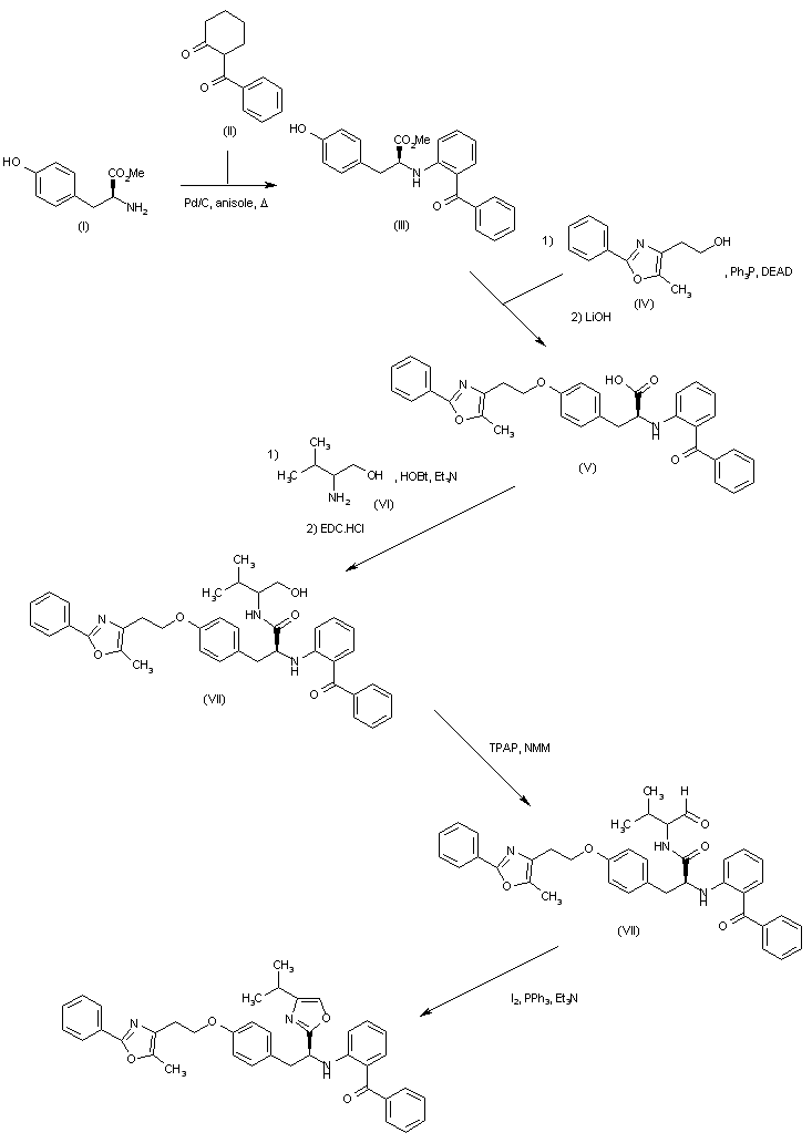
Condensation of L-tyrosine methyl ester (I) with 2-benzoylcylohexanone (II) and subsequent dehydrogenation in refluxing anisole in the presence of Pd/C affords the benzophenone derivative (III), which is converted into carboxylic acid (V) by Mitsunobu reaction with heterocyclic alcohol (IV) by means of PPh3 and DEAD in THF followed by saponification of the resulting methyl ester with LiOH in THF/MeOH (1). Coupling of (V) with valinol (VI) by means of HOBt/Et3N and EDC稨Cl in CH2Cl2 furnishes amide (VII), which is oxidized by means of 4-methylmorpholine (NMM) and TPAP in CH2Cl2 to furnish aldehyde (VIII). Finally, the desired oxazole is obtained by intramolecular cyclization of (VIII) by means of iodine, PPh3 and Et3N in CH2Cl2.

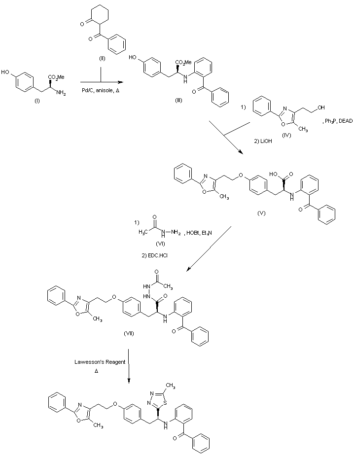
合成路线图解说明:

Condensation of L-tyrosine methyl ester (I) with 2-benzoylcylohexanone (II) and subsequent dehydrogenation in refluxing anisole in the presence of Pd/C affords the benzophenone derivative (III), which is converted into carboxylic acid (V) by Mitsunobu reaction with heterocyclic alcohol (IV) by means of PPh3 and DEAD in THF followed by saponification of the resulting methyl ester with LiOH in THF/MeOH (1). Coupling of (V) with acetic acid hydrazide (VI) by means of HOBt/Et3N and EDC.HCl in CH2Cl2 furnishes the diacyl hydrazide (VII), which is finally converted into the desired thiadiazole derivative by treatment with Lawesson抯 Reagent in refluxing toluene.

Drug Information Express,Drug R&D,Chemical Database,Patent Search.
Copyright © 2006-2026 Drug Future. All rights reserved.Contact Us