【药物名称】NSC-656240
化学结构式(Chemical Structure):
参考文献No.543508
标题:Synthesis and cytotoxicity of methyl-4,8-dihydrobenzol[1,2-b: 5,4-b']dithiophene-4,8-dione derivatives
作者:Chao, Y.H.; Kuo, S.C.; Ku, K.; Chiu, I.P.; Wu, C.H.; Mauger, A.; Wang, H.K.; Lee, K.H.
来源:Bioorg Med Chem 1999,7(6),1025
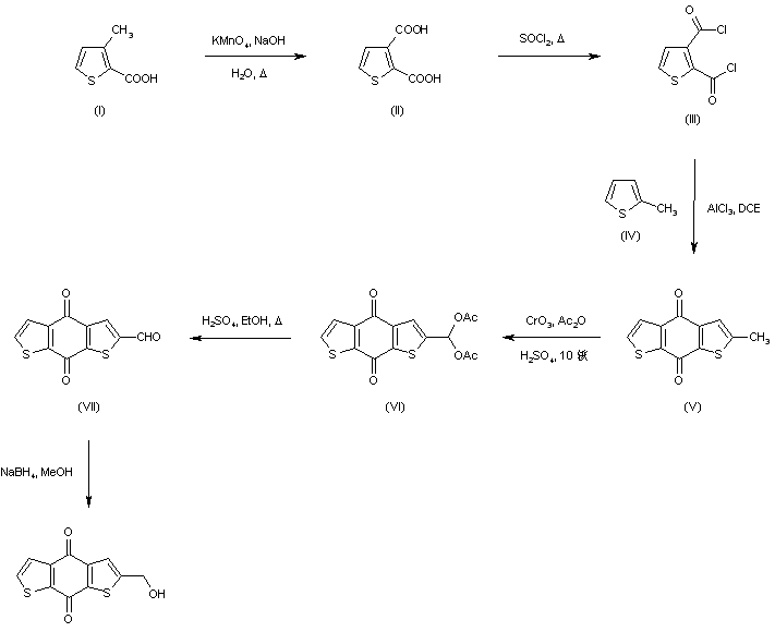
合成路线图解说明:

Oxidation of 3-methyl-2-thiophenecarboxylic acid (I) with potassium permanganate in aqueous NaOH afforded diacid (II), which was converted into acid chloride (III) upon refluxing in SOCl2. The cyclic diacylation of 2-methylthiophene (IV) with acyl chloride (III) in the presence of AlCl3 afforded benzodithiophenedione (V). Oxidation of the methyl side chain of (V) with CrO3 in Ac2O gave rise to the gem-diacetate (VI), which was subsequently hydrolyzed to aldehyde (VII) with ethanolic H2SO4. Finally, aldehyde reduction of (VII) with NaBH4 in MeOH yielded the title alcohol

Drug Information Express,Drug R&D,Chemical Database,Patent Search.
Copyright © 2006-2026 Drug Future. All rights reserved.Contact Us