【药物名称】
化学结构式(Chemical Structure):
参考文献No.543507
标题:Spironolactone-related inhibitors of type II 17beta-hydroxysteroid dehydrogenase: Chemical synthesis, receptor binding affinities, and proliferative/antiproliferative activities
作者:Tremblay, M.R.; Luu-The, V.; Leblanc, G.; Noel, P.; Breton, E.; Labrie, F.; Poirier, D.
来源:Bioorg Med Chem 1999,7(6),1013
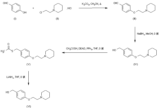
合成路线图解说明:

Alkylation of 4-hydroxybenzaldehyde (I) with 1-(2-chloroethyl)piperidine hydrochloride (II) in the presence of K2CO3 yielded (piperidinylethoxy)benzaldehyde (III), which was further reduced to the benzylic alcohol (IV) with methanolic NaBH4. Coupling of (IV) with thioacetic acid according to the Mitsunobu procedure yielded thioacetate ester (V), which was converted to the corresponding thiol (VI) by reductive cleavage of the thioester group with LiAlH4.

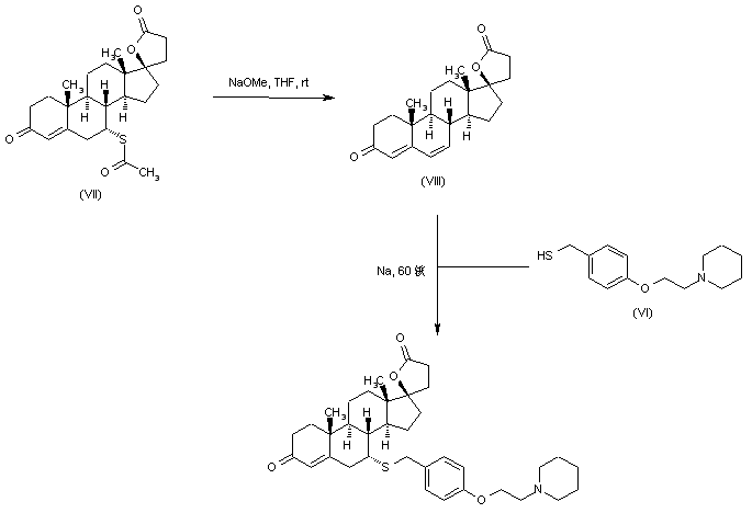
合成路线图解说明:

Elimination of the thioacetyl group of spironolactone (VII) by treatment with NaOMe yielded canrenone (VIII). The title compound was then obtained by 1,6-conjugate addition of thiol (VI) to the dienone (VIII) in the presence of metallic sodium at 60 C.

Drug Information Express,Drug R&D,Chemical Database,Patent Search.
Copyright © 2006-2026 Drug Future. All rights reserved.Contact Us