【药物名称】
化学结构式(Chemical Structure):
参考文献No.542739
标题:Synthesis of water-soluble phenytoin prodrugs
作者:Bosch, J.; Roca, T.; Domenech, J.; Suriol, M.
来源:Bioorg Med Chem Lett 1999,9(13),1859
合成路线图解说明:

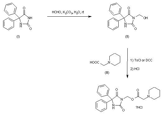
Condensation of phenytoin (I) with formaldehyde in the presence of K2CO3 provided (hydroxymethyl)phenytoin (II). This was then esterified with (1-piperidinyl)acetic acid (III) using either p-toluenesulfonyl chloride or N,N'-dicyclohexylcarbodiimide as the coupling agents. The title compound was finally isolated as the hydrochloride salt.

Drug Information Express,Drug R&D,Chemical Database,Patent Search.
Copyright © 2006-2026 Drug Future. All rights reserved.Contact Us