【药物名称】
化学结构式(Chemical Structure):
参考文献No.542741
标题:From histamine to imidazolylalkyl-sulfonamides: The design of a novel series of histamine H3-receptor antagonists
作者:Tozer, M.J.; Harper, E.A.; Kalindjian, S.B.; Pether, M.J.; Shankley, N.P.; Watt, G.F.
来源:Bioorg Med Chem Lett 1999,9(13),1825
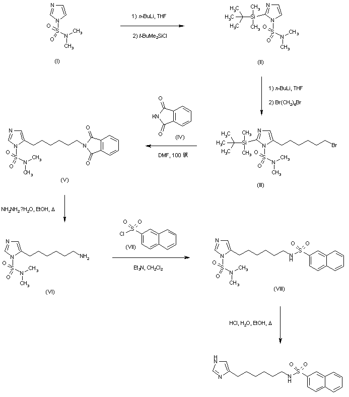
合成路线图解说明:

Lithiation of 1-(N-N-dimethylsulfamoyl)imidazole (I) followed by reaction with tert-butyldimethylsilyl chloride produced the 2-silyl protected imidazole (II). Further lithiation of (II) allowed the introduction of a bromohexyl group at position 5 upon treatment with 1,6-dibromohexane yielding (III). Bromide (III) was subsequently converted into primary amine (VI) through a Gabriel synthesis involving condensation with potassium phthalimide (IV) with concomitant desilylation, and then hydrazinolysis of the resulting alkylated phthalimide (V). Condensation of amine (VI) with naphthalene-2-sulfonyl chloride (VII) furnished sulfonamide (VIII). The sulfamoyl protecting group of (VIII) was finally removed by hydrolysis with HCl.

Drug Information Express,Drug R&D,Chemical Database,Patent Search.
Copyright © 2006-2026 Drug Future. All rights reserved.Contact Us