【药物名称】
化学结构式(Chemical Structure):
参考文献No.542742
标题:Structure-activity relationship analysis of substituted 4-quinolinamines, antagonists of immunostimulatory CpG-oligodeoxynucleotides
作者:Strekowski, L.; Zegrocka, O.; Henary, M.; Say, M.; Mokrosz, M.J.; Kotecka, B.M.; Manzel, L.; Macfarlane, D.E.
来源:Bioorg Med Chem Lett 1999,9(13),1819
合成路线图解说明:

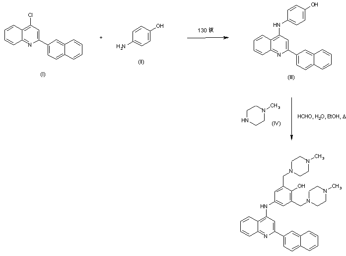
The condensation of 4-chloro-2-(2-naphthyl)quinoline (I) with p-aminophenol (II) at 130 C provided the corresponding 4-anilinoquinoline (III). Then, Mannich reaction of (III) with N-methylpiperazine (IV) and formaldehyde furnished the title compound.

Drug Information Express,Drug R&D,Chemical Database,Patent Search.
Copyright © 2006-2026 Drug Future. All rights reserved.Contact Us