【药物名称】SB-265123
化学结构式(Chemical Structure):
参考文献No.36299
标题:Method for stimulating bone formation
作者:Drake, F.H. (SmithKline Beecham plc)
来源:EP 0946180; WO 9815278
合成路线图解说明:

Addition of phenylmagnesium bromide to 6-methoxy-1-indanone (I) gave carbinol (II), which was dehydrated to phenylindene (III) upon treatment with p-toluenesulfonic acid in refluxing toluene. Oxidative cleavage of (III) with Jones reagent in the presence of OsO4 provided 2-benzoyl-4-methoxyphenylacetic acid (IV), which was further reduced to the 2-benzyl analogue (V) by hydrogenation over Pd/C. After conversion of (V) to the corresponding acid chloride (VI) using oxalyl chloride and a trace of DMF, Friedel-Crafts cyclization with AlCl3 furnished the dibenzocycloheptenone (VII). Addition of the lithium enolate of ethyl acetate to the carbonyl group of (VII) in the presence of tetramethylethylenediamine at -78 C generated the hydroxyester (VIII). Then, hydrogenolysis of the benzylic alcohol of (VIII) in the presence of Pd/C gave (IX). Subsequent cleavage of the methyl ether of (IX) by means of ethane thiol and AlCl3 provided the corresponding racemic phenol. Isolation of the required (S)-enantiomer (X) was carried out by chiral HPLC.

合成路线图解说明:

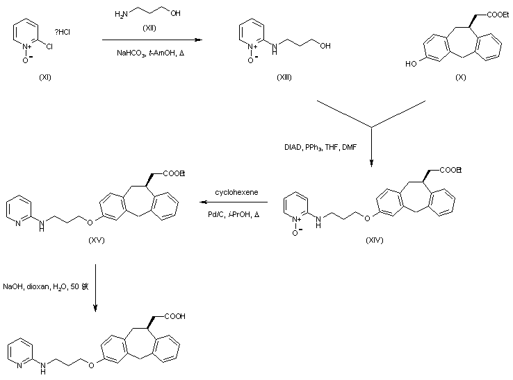
Condensation of 2-chloropyridine-N-oxide hydrochloride (XI) with 3-amino-1-propanol (XII) in boiling tert-amyl alcohol provided the aminopyridine N-oxide (XIII). Subsequent Mitsunobu coupling of (XIII) with the chiral phenol (X) in the presence of diisopropyl azodicarboxylate and triphenyl phosphine produced ether (XIV). The N-oxide group of (XIV) was then reduced by transfer hydrogenation using cyclohexene and Pd/C to yield pyridine (XV). Finally, saponification of the ethyl ester of (XV) furnished the title compound.

参考文献No.38912
标题:Vitronectin receptor antagonists
作者:Miller, W.H.; Samanen, J.M.; Heerding, D.; Bondinell, W.E. (SmithKline Beecham Corp.)
来源:EP 1025090; WO 9915508
合成路线图解说明:

Addition of phenylmagnesium bromide to 6-methoxy-1-indanone (I) gave carbinol (II), which was dehydrated to phenylindene (III) upon treatment with p-toluenesulfonic acid in refluxing toluene. Oxidative cleavage of (III) with Jones reagent in the presence of OsO4 provided 2-benzoyl-4-methoxyphenylacetic acid (IV), which was further reduced to the 2-benzyl analogue (V) by hydrogenation over Pd/C. After conversion of (V) to the corresponding acid chloride (VI) using oxalyl chloride and a trace of DMF, Friedel-Crafts cyclization with AlCl3 furnished the dibenzocycloheptenone (VII). Addition of the lithium enolate of ethyl acetate to the carbonyl group of (VII) in the presence of tetramethylethylenediamine at -78 C generated the hydroxyester (VIII). Then, hydrogenolysis of the benzylic alcohol of (VIII) in the presence of Pd/C gave (IX). Subsequent cleavage of the methyl ether of (IX) by means of ethane thiol and AlCl3 provided the corresponding racemic phenol. Isolation of the required (S)-enantiomer (X) was carried out by chiral HPLC.

合成路线图解说明:

Condensation of 2-chloropyridine-N-oxide hydrochloride (XI) with 3-amino-1-propanol (XII) in boiling tert-amyl alcohol provided the aminopyridine N-oxide (XIII). Subsequent Mitsunobu coupling of (XIII) with the chiral phenol (X) in the presence of diisopropyl azodicarboxylate and triphenyl phosphine produced ether (XIV). The N-oxide group of (XIV) was then reduced by transfer hydrogenation using cyclohexene and Pd/C to yield pyridine (XV). Finally, saponification of the ethyl ester of (XV) furnished the title compound.

合成路线图解说明:

The synthesis of the tricyclic precursors has been reported by two alternative routes. Alkylation of 3-(3-methoxyphenyl)indene (XVI) with ethyl bromoacetate using lithium hexamethyldisilazide provided indeneacetate (XVII). Subsequent oxidative cleavage of (XVII) gave rise to the arylsuccinic derivative (XVIII). The benzoyl group of (XVIII) was then reduced to the benzyl analogue (XIX) by catalytic hydrogenation in the presence of Pd/C in AcOH. After conversion of (XIX) to the corresponding acid chloride (XX), Friedel-Crafts cyclization produced the tricyclic ketoester (XXI). Then reduction of the ketone group of (XXI) by hydrogenation over Pd/C furnished intermediate (IX).

参考文献No.543044
标题:Orally bioavailable nonpeptide vitronectin receptor antagonists with efficacy in an osteoporosis model
作者:Miller, W.H.; Bondinell, W.E.; Cousins, R.D.; Erhard, K.F.; Jakas, D.R.; Keenan, R.M.; Ku, T.W.; Newlander, K.A.; Ross, S.T.; Haltiwanger, R.C.; Bradbeer, J.; Drake, F.H.; Gowen, M.; Hoffman, S.J.; Hwang, S.M.; James, I.E.; Lark, M.W.; et al.
来源:Bioorg Med Chem Lett 1999,9(13),1807
合成路线图解说明:

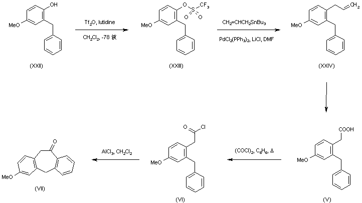
In a further procedure, 2-benzyl-4-methoxyphenol (XXII) was converted to triflate (XXIII), and then allylated to give (XXIV) using allyl tributyl tin. Cleavage of the allylic olefin with ruthenium tetroxide produced carboxylic acid (V). Formation of the acid chloride (VI), followed by Friedel-Crafts cyclization as above afforded tricyclic ketone (VII).

Drug Information Express,Drug R&D,Chemical Database,Patent Search.
Copyright © 2006-2026 Drug Future. All rights reserved.Contact Us