【药物名称】
化学结构式(Chemical Structure):
参考文献No.542744
标题:Synthesis and identification of conformationally constrained selective MMP inhibitors
作者:Freskos, J.N.; McDonald, J.J.; Mischke, B.V.; Mullins, P.B.; Shieh, H.S.; Stegeman, R,A.; Stevens, A.M.
来源:Bioorg Med Chem Lett 1999,9(13),1757
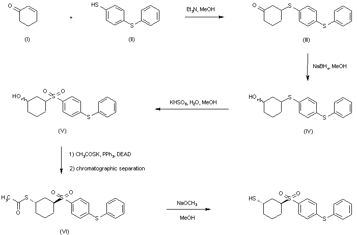
合成路线图解说明:

Michael addition of 4-(phenylsulfanyl)thiophenol (II) to cyclohexenone (I) afforded the ketosulfide (III). This was reduced with NaBH4 to give a diastereomeric mixture of alcohols (IV). Subsequent oxidation of sulfide group of (IV) with Oxone provided sulfone (V). Condensation with potassium thioacetate under Mitsunobu conditions gave the corresponding thioester as a mixture of isomers, from which the major trans isomer (VI) was isolated by chromatography. Finally, deprotection of (VI) with sodium methoxide in MeOH yielded the target thiol.

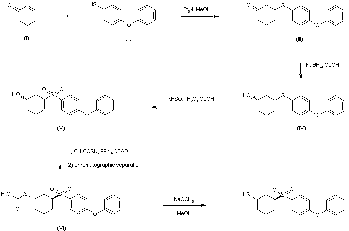
合成路线图解说明:

Michael addition of 4-(phenoxy)thiophenol (II) to cyclohexenone (I) afforded the ketosulfide (III). This was reduced with NaBH4 to give a diastereomeric mixture of alcohols (IV). Subsequent oxidation of sulfide group of (IV) with Oxone provided sulfone (V). Condensation with potassium thioacetate under Mitsunobu conditions gave the corresponding thioester as a mixture of isomers, from which the major trans isomer (VI) was isolated by chromatography. Finally, deprotection of (VI) with sodium methoxide in MeOH yielded the target thiol.

Drug Information Express,Drug R&D,Chemical Database,Patent Search.
Copyright © 2006-2026 Drug Future. All rights reserved.Contact Us