【药物名称】
化学结构式(Chemical Structure):
参考文献No.26446
标题:N-Acylated tricyclic azaheterorings useful as vasopressin antagonists
作者:Albright, J.D.; Reich, M.F.; Sum, F.-W. (American Cyanamid Co.)
来源:CA 2128955; EP 0640592; JP 1995179430; US 5512563; WO 9747624
合成路线图解说明:

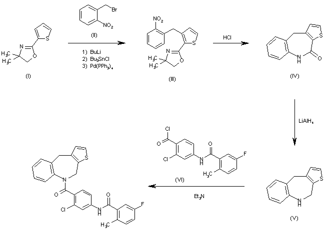
The condensation of 4,4-dimethyl-2-(2-thienyl)-4,5-dihydrooxazole (I) with 2-nitrobenzyl bromide (II) by means of first with BuLi and then with tributylstannyl chloride and Pd(PPh)3)4 in ethyl ether gives 4,4-dimethyl-2-[3-(2-nitrobenzyl)-2-thienyl]-4,5-dihydrooxazole (III), which is cyclized by means of HCl in refluxing acetone/water yielding 9,10-dihydro-4H-thieno[2,3-c][1]benzazepin-10-one (IV). The reduction of (IV) by means of LiAlH4 in refluxing THF affords 9,10-dihydro-4H-thieno[2,3-c][1]benzazepine (V), which is finally condensed with 2-chloro-4-(5-fluoro-2-methylbenzamido)benzoyl chloride (VI) by means of triethylamine in dichloromethane.

参考文献No.40041
标题:Tricyclic benzazepine vasopressin antagonists
作者:Du, X.; Albright, J.D. (American Cyanamid Co.)
来源:US 5736538
合成路线图解说明:

The condensation of 4,4-dimethyl-2-(2-thienyl)-4,5-dihydrooxazole (I) with 2-nitrobenzyl bromide (II) by means of first with BuLi and then with tributylstannyl chloride and Pd(PPh)3)4 in ethyl ether gives 4,4-dimethyl-2-[3-(2-nitrobenzyl)-2-thienyl]-4,5-dihydrooxazole (III), which is cyclized by means of HCl in refluxing acetone/water yielding 9,10-dihydro-4H-thieno[2,3-c][1]benzazepin-10-one (IV). The reduction of (IV) by means of LiAlH4 in refluxing THF affords 9,10-dihydro-4H-thieno[2,3-c][1]benzazepine (V), which is finally condensed with 2-chloro-4-(5-fluoro-2-methylbenzamido)benzoyl chloride (VI) by means of triethylamine in dichloromethane.

参考文献No.542746
标题:4,10-Dihydro-5H-thieno[3,2-c][1]benzazepine derivatives and 9,10-dihydro-4H-thieno[2,3-c][1]benzazepine derivatives as orally active arginine vasopressin receptor antagonists
作者:Aranapakam, V.; Albreight, J.D.; Grosu, G.T.; Chan, P.S.; Coupet, J.; Saunders, T.; Ru, X.; Mazandarani, H.
来源:Bioorg Med Chem Lett 1999,9(13),1733
合成路线图解说明:

The condensation of 4,4-dimethyl-2-(2-thienyl)-4,5-dihydrooxazole (I) with 2-nitrobenzyl bromide (II) by means of first with BuLi and then with tributylstannyl chloride and Pd(PPh)3)4 in ethyl ether gives 4,4-dimethyl-2-[3-(2-nitrobenzyl)-2-thienyl]-4,5-dihydrooxazole (III), which is cyclized by means of HCl in refluxing acetone/water yielding 9,10-dihydro-4H-thieno[2,3-c][1]benzazepin-10-one (IV). The reduction of (IV) by means of LiAlH4 in refluxing THF affords 9,10-dihydro-4H-thieno[2,3-c][1]benzazepine (V), which is finally condensed with 2-chloro-4-(5-fluoro-2-methylbenzamido)benzoyl chloride (VI) by means of triethylamine in dichloromethane.

Drug Information Express,Drug R&D,Chemical Database,Patent Search.
Copyright © 2006-2026 Drug Future. All rights reserved.Contact Us