【药物名称】OSI-461, CP-461
化学结构式(Chemical Structure):
参考文献No.39704
标题:N-Benzyl-3-indenylacetamides derivs. for treating neoplasia
作者:Piazza, G.; Gross, P.; Brendel, K.; Sperl, G.; Pamukcu, R. (Cell Pathways, Inc.; University of Arizona)
来源:EP 1044187; US 5948779; US 6066634; WO 9931065
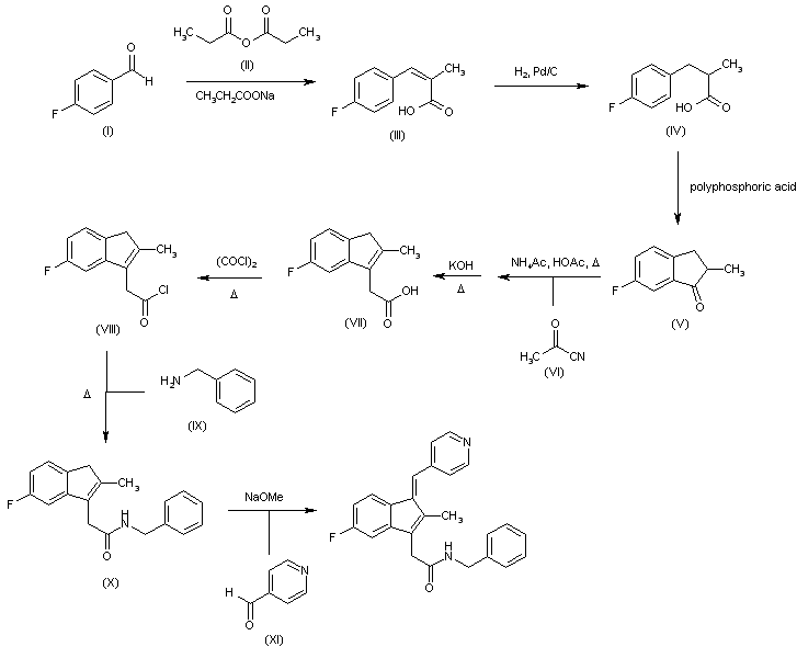
合成路线图解说明:

Heating p-fluorobenzaldehyde (I) with propionic anhydride (II) in the presence of sodium propionate affords methyl cinnamic acid derivative (III), which is then hydrogenated over Pd/C in EtOH to provide methyl hydrocinnamic acid derivative (IV). Ring closure of (IV) is then performed by heating with polyphosphoric acid to yield methylindanone derivative (V). Condensation of (V) with cyanoacetic acid (VI) by means of ammonium acetate and HOAc in refluxing toluene followed by treatment with KOH in refluxing EtOH provides acetic acid derivative (VII), which is then converted into acetyl chloride compound (VIII) by reaction with oxalyl chloride in refluxing THF. Coupling of (VIII) with benzylamine (IX) in refluxing CH2Cl2 gives indenylacetamide derivative (X), which is finally condensed with 4-pyridinecarboxaldehyde (XI) by means of NaOMe in MeOH to furnish the desired compound.

参考文献No.47434
标题:A method for treating patients with acne by administering a cyclic GMP PDE inhibitor
作者:Mayle, M.J.; Menander, K.B. (Cell Pathways, Inc.)
来源:WO 0044372
合成路线图解说明:

Condensation of p-fluorobenzaldehyde (I) with propionic anhydride (II) by means of sodium propionate at 140 C affords p-fluoro-alpha-methylcinnamic acid (III), which is then hydrogenated over Pd/C in EtOH to provide p-fluoro-alpha-methylhydrocinnamic acid (IV). Derivative (IV) is subjected to cyclization by treatment with polyphosphoric acid (PPA) to give 6-fluoro-2-methylindanone (V), which is converted into 5-fluoro-2-methylindenyl-3-acetic acid (VII) by first condensation with cyanoacetic acid (VI) by means of acetic acid and ammonium acetate in refluxing toluene, followed by hydrolysis with KOH in hot ethanol. Condensation of derivative (VII) with p-methylthiobenzaldehyde (VIII) by means of sodium methoxide in hot MeOH affords 5-fluoro-2-methyl-1-[p-(methylsulfanyl)benzylidene]-3-indenyl acetic acid (IX), which is then oxidized in MeOH/acetone by means of an aqueous solution of sodium periodate to yield methylsulfinylbenzylidene derivative (X). Finally, the target product is obtained by further oxidation of (X) with H2O2 in the presence of sodium methoxide and sodium bicarbonate in MeOH/acetonitrile at -10 C.

合成路线图解说明:

Heating p-fluorobenzaldehyde (I) with propionic anhydride (II) in the presence of sodium propionate affords methyl cinnamic acid derivative (III), which is then hydrogenated over Pd/C in EtOH to provide methyl hydrocinnamic acid derivative (IV). Ring closure of (IV) is then performed by heating with polyphosphoric acid to yield methylindanone derivative (V). Condensation of (V) with cyanoacetic acid (VI) by means of ammonium acetate and HOAc in refluxing toluene followed by treatment with KOH in refluxing EtOH provides acetic acid derivative (VII), which is then converted into acetyl chloride compound (VIII) by reaction with oxalyl chloride in refluxing THF. Coupling of (VIII) with benzylamine (IX) in refluxing CH2Cl2 gives indenylacetamide derivative (X), which is finally condensed with 4-pyridinecarboxaldehyde (XI) by means of NaOMe in MeOH to furnish the desired compound.

Drug Information Express,Drug R&D,Chemical Database,Patent Search.
Copyright © 2006-2026 Drug Future. All rights reserved.Contact Us