【药物名称】BAL-9602
化学结构式(Chemical Structure):
参考文献No.33474
标题:Novel geranylgeranyl-derivs., process for the preparation thereof and related pharmaceutical compsns.
作者:Balsamo, A.; Macchia, B.; Macchia, M.; Baldacci, M.; Danesi, R.; Del Tacca, M. (Laboratori Baldacci SpA)
来源:EP 0862575; JP 2000500758; WO 9719091
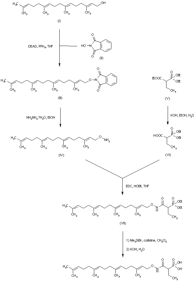
合成路线图解说明:

Mitsunobu coupling of geranylgeraniol (I) with N-hydroxyphthalimide (II) in the presence of diethyl azodicarboxylate and triphenylphosphine produced the N-alkoxyphthalimide (III). Subsequent hydrazinolysis of the phthaloyl group of (III) gave rise to the O-alkyl hydroxylamine (IV). (2-Diethylphosphono)butyric acid (VI), prepared by partial hydrolysis of triethyl ester (V), was then coupled with hydroxylamine (IV) using 1-(3-dimethylaminopropyl)-3-ethylcarbodiimide-HCl and 1-hydroxybenzotriazole to furnish the N-alkoxyamide (VII). The phosphonate ester groups were finally cleaved by treatment with bromotrimethylsilane and 2,4,6-collidine.

Drug Information Express,Drug R&D,Chemical Database,Patent Search.
Copyright © 2006-2026 Drug Future. All rights reserved.Contact Us