【药物名称】
化学结构式(Chemical Structure):
参考文献No.541739
标题:Estrogen receptor subtype-selective ligands: Asymmetric synthesis and biological evaluation of cis- and trans-5,11-dialkyl-5,6,11,12-tetrahydrochrysenes
作者:Meyers, M.J.; Sun, J.; Carlson, K.E.; Katzenellenbogen, B.S.; Katzenellenbogen, J.A.
来源:J Med Chem 1999,42(13),2456
合成路线图解说明:

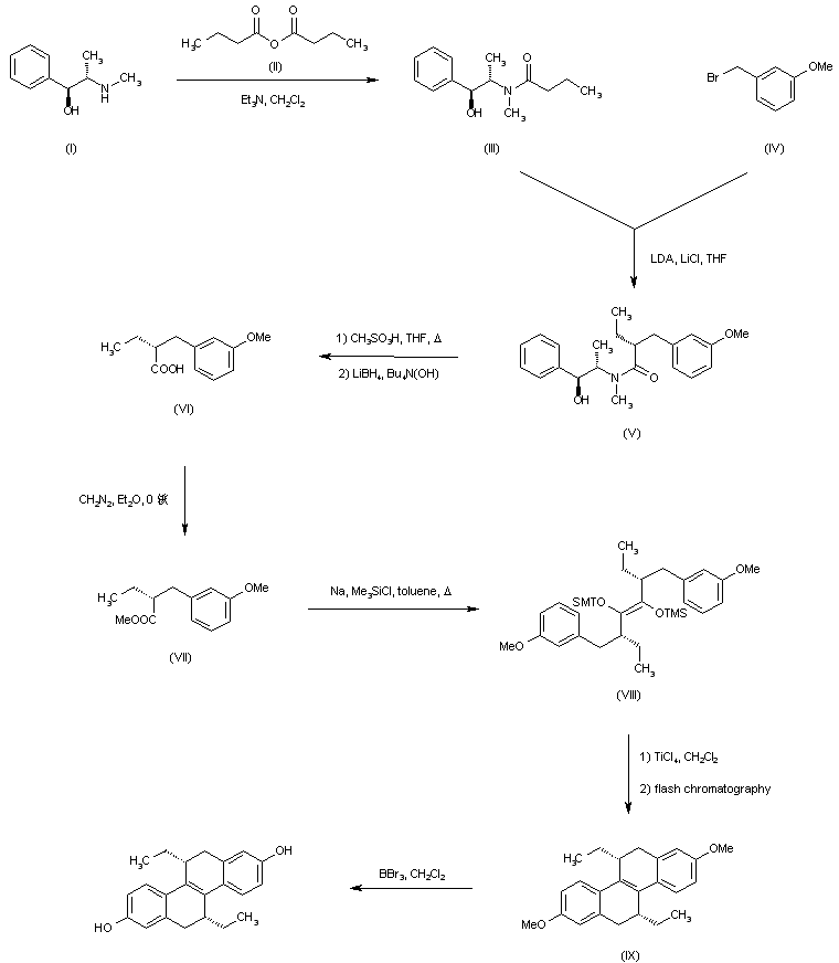
The acylation of (S,S)-pseudoephedrine (I) with butyric anhydride (II) gave the corresponding butyramide (III), which was asymmetrically alkylated with m-methoxybenzyl bromide (IV) in the presence of LDA and LiCl in THF at low temperature to produce the (S,S,R) isomer (V). Amide hydrolysis of (V) to provide the (R)-carboxylic acid (VI) was effected according to a described procedure by treatment with methanesulfonic acid in boiling THF, and then with lithium borohydride and tetrabutylammonium hydroxide. Further treatment of (VI) with ethereal diazomethane afforded the methyl ester (VII). This was submitted to acyloin condensation using Na metal and trimethylsilyl chloride to form the corresponding acyloin as the bis(silyl) ether (VIII). Double cyclization of (VIII) using TiCl4 at low temperature yielded the required tetrahydrochrysene system with minimal epimerization. The major cis isomer (IX) was then isolated by flash chromatography. Finally, deprotection of the methyl ethers of (IX) with BBr3 furnished the title bis-phenolic compound.

Drug Information Express,Drug R&D,Chemical Database,Patent Search.
Copyright © 2006-2026 Drug Future. All rights reserved.Contact Us