【药物名称】SRI-9643
化学结构式(Chemical Structure):
参考文献No.541737
标题:Pneumocystis carinii Toxoplasma gondii dihydrofolate reductase inhibitors and antitumor agents: Synthesis and biological activities of 2,4-diamino-5-methyl-6-[(monosubstituted anilino)methyl]-pyrido[2,3-d]pyrimidines
作者:Gangjee, A.; Adair, O.; Queener, S.F.
来源:J Med Chem 1999,42(13),2447
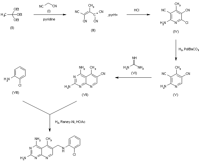
合成路线图解说明:

Condensation of malononitrile (I) with triethyl orthoacetate (II) in pyridine produced the intermediate (III), which was cyclized to pyridine (IV) by acidic treatment. Reductive dechlorination of (IV) by hydrogenation over Pd/BaCO3 afforded 2-aminopyridine-3,5-dicarbonitrile (V). Subsequent condensation of (V) with guanidine (VI) gave rise to the pyridopyrimidine system (VII). Finally, reductive amination of (VII) with 2-chloroaniline (VIII) by means of H2 and Raney-Ni afforded the title compound.

参考文献No.701209
标题:
作者:Boutli, F.; Mourellou, O.; Avgoustinaki, N.; Zioga, M.; Rammnos, C.H.
来源:Chin Journal of Medicinal Chemistry 1995,5(2),79-85
合成路线图解说明:

Condensation of malononitrile (I) with triethyl orthoacetate (II) in pyridine produced the intermediate (III), which was cyclized to pyridine (IV) by acidic treatment. Reductive dechlorination of (IV) by hydrogenation over Pd/BaCO3 afforded 2-aminopyridine-3,5-dicarbonitrile (V). Subsequent condensation of (V) with guanidine (VI) gave rise to the pyridopyrimidine system (VII). Finally, reductive amination of (VII) with 2-chloroaniline (VIII) by means of H2 and Raney-Ni afforded the title compound.

Drug Information Express,Drug R&D,Chemical Database,Patent Search.
Copyright © 2006-2026 Drug Future. All rights reserved.Contact Us