【药物名称】
化学结构式(Chemical Structure):
参考文献No.541736
标题:Antitumor agents. 194. Synthesis and biological evaluations of 4-beta-mono-, -di-, and -trisubstituted aniline-4'-O-demethyl-podophyllotoxin and related compounds with improved pharmacological profiles
作者:Zhu, X.K.; Guan, J.; Tachibana, Y.; Bastow, K.F.; Cho, S.J.; Cheng, H.H.; Cheng, Y.C.; Gurwith, M.; Lee, K.H.
来源:J Med Chem 1999,42(13),2441
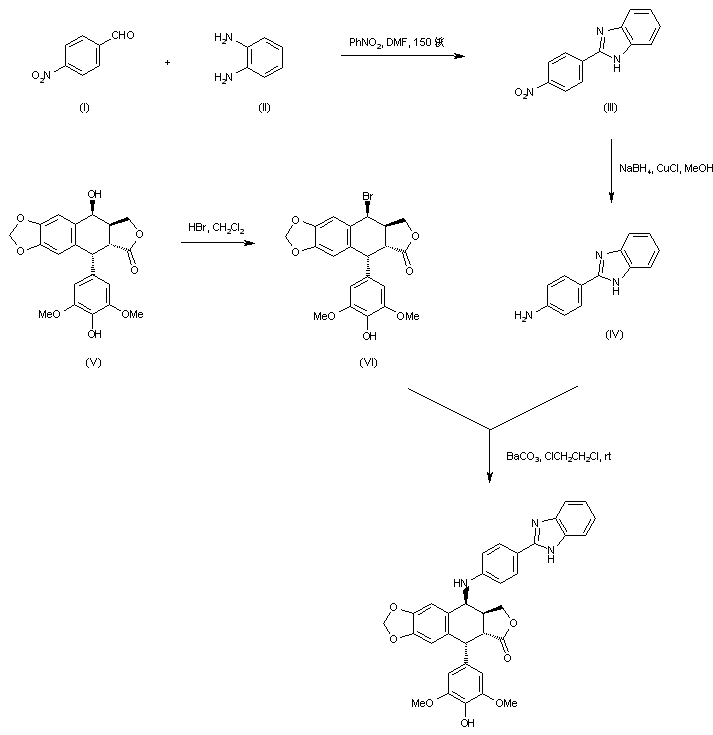
合成路线图解说明:

Oxidative oxidation of p-nitrobenzaldehyde (I) and 1,2-phenylenediamine (II) in DMF in the presence of nitrobenzene produced benzimidazole (III). Subsequent reduction of the nitro group of (III) by means of NaBH4 and CuCl afforded aniline (IV). Bromide (VI) was prepared by treatment of 4'-demethyl epipodophyllotoxin (V) with HBr. The title compound was then obtained by coupling aniline (IV) with bromide (VI) using BaCO3 in 1,2-dichloroethane.

Drug Information Express,Drug R&D,Chemical Database,Patent Search.
Copyright © 2006-2026 Drug Future. All rights reserved.Contact Us