【药物名称】PNU-179954
化学结构式(Chemical Structure):
参考文献No.39657
标题:S-Oxide and S,S-dioxide tetrahydrothiopyran phenyloxazolidinones
作者:Martin, J.P. Jr.; Barbachyn, M.R.; Poel, T.-J. (Pharmacia Corp.)
来源:EP 1036074; US 6083967; WO 9929688
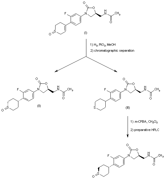
合成路线图解说明:

The known dihydrothiopyran derivative (I) was hydrogenated over PtO2 to produce a mixture of cis tetrahydrothiopyran sulfoxide (II) and sulfide (III), which were separated by column chromatography. Oxidation of sulfide (III) using m-chloroperbenzoic acid then yielded a mixture of cis and trans sulfoxides, from which the title trans isomer was isolated by preparative HPLC.

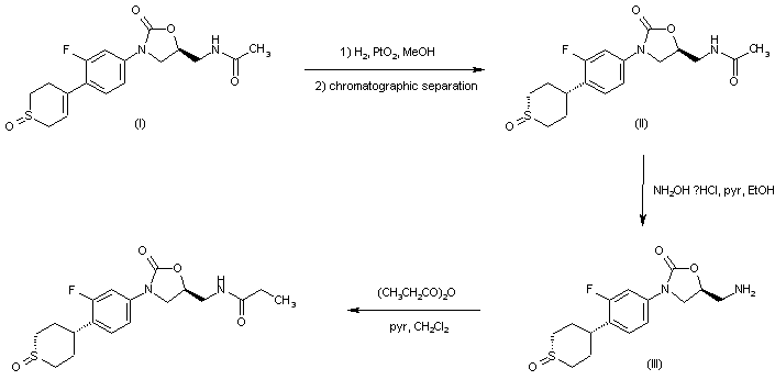
合成路线图解说明:

The known dihydrothiopyran derivative (I) was hydrogenated over PtO2 to produce the cis tetrahydrothiopyran sulfoxide (II) along with the trans isomer and the corresponding sulfide, which were separated by column chromatography. Selective hydrolysis of the acetamide function of (II) by means of hydroxylamine and pyridine in EtOH yielded amine (III). This was finally coupled with propionic anhydride to furnish the corresponding propionamide.

参考文献No.590901
标题:Stereodivergent synthesis of sulfoxide-containing oxazolidinone antibiotics
作者:Gage, J.R.; et al.
来源:Tetrahedron Lett 2000,41(22),4301
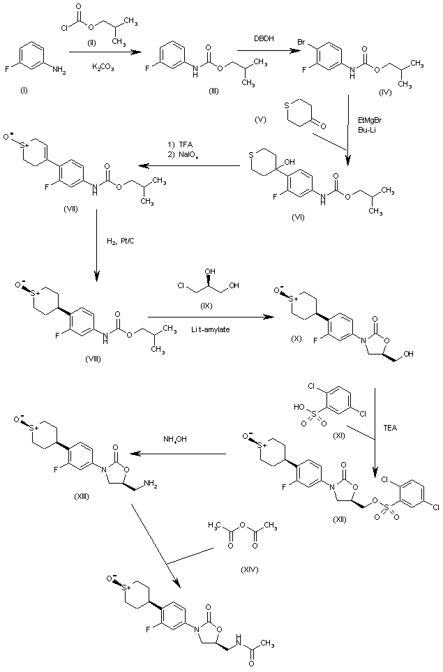
合成路线图解说明:

The reaction of 3-fluoroaniline (I) with isobutyl chloroformate (II) by means of K2CO3 in dichloromethane/water gives the carbamate (III), which is brominated with 1,3-dibromo-5,5-dimethylhydantoin (DBDH) to yield the 4-bromo-3-fluorophenyl carbamate (IV). The condensation of (IV) with tetrahydrothiopyran-4-one (V) by means of EtMgBr and BuLi in THF affords the tertiary alcohol (VI), which is dehydrated by means of TFA in dichloromethane and oxidized with NaIO4 in methanol/water to provide the unsaturated sulfoxide (VII). The stereoselective reduction of (VII) by means of H2 over Pt/C in DMF gives the cis sulfoxide (VIII). The cyclization of the carbamate (VIII) with (S)-3-chloropropane-1,2-diol (IX) by means of Li t-amylate in DMF gives the oxazolidinone (X), whose free OH group is activated with 2,5-dichlorobenzenesulfonyl chloride (XI) and TEA in dichloromethane to yield the sulfonate (XII). The reaction of (XII) with NH4OH in methanol/acetonitrile affords the aminomethyl derivative (XIII), which is finally acylated with acetic anhydride (XIV) to provide the target sulfoxide.

合成路线图解说明:

The reaction of 3-fluoroaniline (I) with isobutyl chloroformate (II) by means of K2CO3 in dichloromethane/water gives the carbamate (III), which is brominated with 1,3-dibromo-5,5-dimethylhydantoin (DBDH) to yield the 4-bromo-3-fluorophenyl carbamate (IV). The condensation of (IV) with tetrahydrothiopyran-4-one (V) by means of EtMgBr and BuLi in THF affords the tertiary alcohol (VI), which is dehydroxylated by means of poly(methylhydrosiloxane) (PMHS), (Me3Si)2O and Ts-OH in toluene to provide the intermediate (VII). The stereoselective oxidation of (VII) to the trans sulfoxide (VIII) is performed by means of Ti(OiPr)4 and tert-butyl hydroperoxide in the presence of diisopropyl D-tartrate. The cyclization of the carbamate (VIII) with (S)-3-chloropropane-1,2-diol (IX) by means of Li t-amylate in DMF gives the oxazolidinone (X), whose free OH group is activated with 3-nitrobenzenesulfonyl chloride and TEA in dichloromethane to yield the sulfonate (XII). The reaction of (XII) with NH4OH in methanol/acetonitrile affords the aminomethyl derivative (XIII), which is finally acylated with propionic anhydride (XIV) to provide the target sulfoxide.

Drug Information Express,Drug R&D,Chemical Database,Patent Search.
Copyright © 2006-2026 Drug Future. All rights reserved.Contact Us