【药物名称】R-137696
化学结构式(Chemical Structure):
参考文献No.39656
标题:(Benzodioxan, benzofuran or benzopyran) derivs. having fundic relaxation properties
作者:De Bruyn, M.F.L.; Schroven, M.F.J.; Wigerinck, P.T.B.P.; Verschueren, W.G. (Janssen Pharmaceutica NV)
来源:WO 9929687
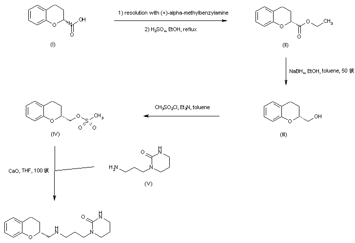
合成路线图解说明:

Racemic 3,4-dihydro-2H-1-benzopyran-2-carboxylic acid (I) is resolved into the corresponding enantiomers by recrystallization of the diastereomeric salts with (+)-(R)-alpha-methylbenzylamine, and the desired (R)-carboxylic acid is further esterified with H2SO4/EtOH to furnish the ethyl ester (II). Subsequent reduction of ester (II) with NaBH4 in toluene/EtOH leads to alcohol (III), which is converted into mesylate (IV) employing methanesulfonyl chloride and triethylamine. Mesylate (IV) is finally condensed with 1-(3-aminopropyl)-hexahydro-2-pyrimidinone (V) by heating with CaO at 100 C in THF in an autoclave to provide the title compound

Drug Information Express,Drug R&D,Chemical Database,Patent Search.
Copyright © 2006-2026 Drug Future. All rights reserved.Contact Us