【药物名称】Ceftazidime, LY-139381, GR-20263, Fortam, Glazidim, Fortum, Modacin, Tazidime, Tazicef, Pentacef, Fortaz, Ceptaz
化学结构式(Chemical Structure):
参考文献No.604319
标题:Ceftazidime
作者:Serradell, M.N.; Blancafort, P.; Casta馿r, J.
来源:Drugs Fut 1981,6(10),612
合成路线图解说明:

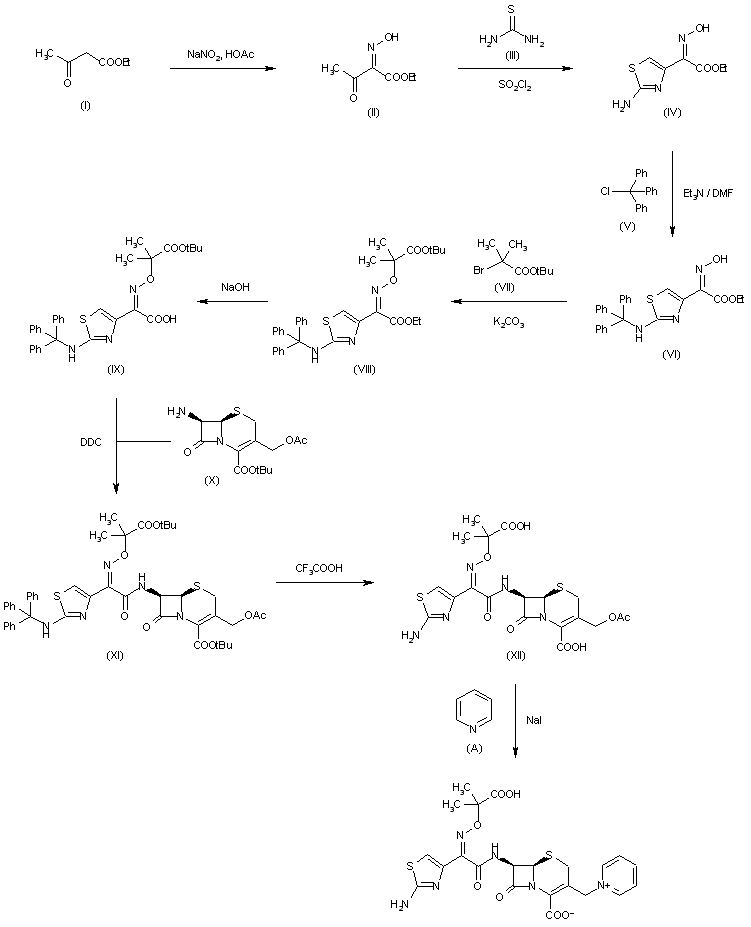
The reaction of ethyl acetoacetate (I) with NaNO2 in acetic acid-water gives ethyl 2-(hydroxyimino)-3-oxobutyrate (II), which is cyclized with thiourea (III) by means of SO2Cl2 in methylene chloride yielding ethyl 2-(2-aminothiazol-4-yl)-2-(hydroxyimino)acetate (IV). The treatment of (IV) with trityl chloride (V) and triethylamine in DMF affords ethyl 2-(hydroxyimino)-2-(2-tritylaminothiazol-4-yl)acetate (VI), which by condensation with tert-butyl 2-bromo-2-methylpropionate (VII) by means of K2CO3 in DMSO is converted into ethyl 2-(2-tert-butoxycarbonyl-2-propyloxymino)-2-(2-tritylaminothiazol-4-yl)acetate (VIII). The hydrolysis of (VIII) with NaOH in refluxing methanol gives 2-(2-tert-butoxycarbonyl-2-propyloxyimino)-2-(2-tritylaminothiazol-4-yl)acetic acid (IX), which by condensation with tert-butyl 7-aminocephalosporanate (X) by means of 1-hydroxybenzotriazole and dicyclohexylcarbodiimide in DMF yields tert-butyl 7-[2-(2-tert-butoxycarbonyl-2-propyloxyimino)-2-(2-tritylaminothiazol-4-yl)acetamido]cephalosporanate (XI). The hydrolysis of (XI) with trifluoroacetic acid in anisole affords 7-[2-(2-aminothiazol-4-yl)-2-(2-carboxy-2-propyloxyimino)acetamido]cephalosporanic acid (XII), which is finally treated with pyridine (A) and NaI.

参考文献No.701494
标题:
作者:
来源:DE 2921316
合成路线图解说明:

The reaction of ethyl acetoacetate (I) with NaNO2 in acetic acid-water gives ethyl 2-(hydroxyimino)-3-oxobutyrate (II), which is cyclized with thiourea (III) by means of SO2Cl2 in methylene chloride yielding ethyl 2-(2-aminothiazol-4-yl)-2-(hydroxyimino)acetate (IV). The treatment of (IV) with trityl chloride (V) and triethylamine in DMF affords ethyl 2-(hydroxyimino)-2-(2-tritylaminothiazol-4-yl)acetate (VI), which by condensation with tert-butyl 2-bromo-2-methylpropionate (VII) by means of K2CO3 in DMSO is converted into ethyl 2-(2-tert-butoxycarbonyl-2-propyloxymino)-2-(2-tritylaminothiazol-4-yl)acetate (VIII). The hydrolysis of (VIII) with NaOH in refluxing methanol gives 2-(2-tert-butoxycarbonyl-2-propyloxyimino)-2-(2-tritylaminothiazol-4-yl)acetic acid (IX), which by condensation with tert-butyl 7-aminocephalosporanate (X) by means of 1-hydroxybenzotriazole and dicyclohexylcarbodiimide in DMF yields tert-butyl 7-[2-(2-tert-butoxycarbonyl-2-propyloxyimino)-2-(2-tritylaminothiazol-4-yl)acetamido]cephalosporanate (XI). The hydrolysis of (XI) with trifluoroacetic acid in anisole affords 7-[2-(2-aminothiazol-4-yl)-2-(2-carboxy-2-propyloxyimino)acetamido]cephalosporanic acid (XII), which is finally treated with pyridine (A) and NaI.

Drug Information Express,Drug R&D,Chemical Database,Patent Search.
Copyright © 2006-2026 Drug Future. All rights reserved.Contact Us