【药物名称】EGIS-8332
化学结构式(Chemical Structure):
参考文献No.8355
标题:5H-2,3-Benzodiazepine derivs., process for their preparation and pharmaceutical compsns. which contain them
作者:Andr醩i, F.; Balogh, T.; Botka, P.; Elekes, I.; Goldschmidt, K.; H醡ori, T.; Korosi, J.; L醤g, T.; Moravcsik, I.; Sineger, E.; Somogyi, G.; Zolyomi, G. (Egis Pharmaceuticals Ltd.)
来源:FR 2566774; HU 191702
合成路线图解说明:

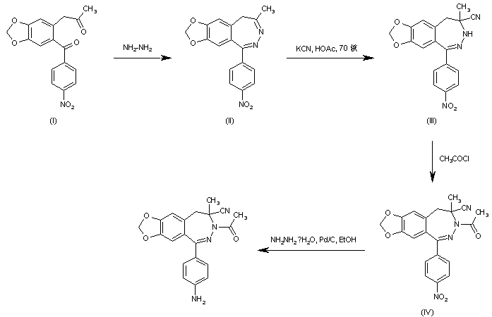
The cyclization of benzophenone (I) with hydrazine in isopropanol gives 8-methyl-5-(4-nitrophenyl)-9H-1,3-dioxolo[4,5-h][2,3]benzodiazepine (II), which is treated with KCN in AcOH at 70 C in a sealed tube to afford nitrile (III). Subsequent treatment of (III) with acetyl chloride gave the N-acetyl benzodiazepine (IV). Finally, the nitro group of (IV) was reduced to the target amine by transfer hydrogenation using hydrazine and Pd/C.

参考文献No.38501
标题:8-Substd.-9H-1,3-dioxolo[4,5-h][2,3]benzodiazepine derivs., as AMPA/kainate receptor inhibitors
作者:Schneider, G.; Bal醶s, L.; Szab? G.; Tihanyi, K.; V間h, M.; Simig, G.; Seres, P.; Gigler, G.; Greff, Z.; Gyerty醤, I.; Dom醤, I.; L関ay, G.; Szabados, T.; Cseleny醟, J.; Gacs醠yi, I.; Egyed, A.; et al. (Egis Pharmaceuticals Ltd.)
来源:EP 1003749; WO 9907707
合成路线图解说明:

The cyclization of benzophenone (I) with hydrazine in isopropanol gives 8-methyl-5-(4-nitrophenyl)-9H-1,3-dioxolo[4,5-h][2,3]benzodiazepine (II), which is treated with KCN in AcOH at 70 C in a sealed tube to afford nitrile (III). Subsequent treatment of (III) with acetyl chloride gave the N-acetyl benzodiazepine (IV). Finally, the nitro group of (IV) was reduced to the target amine by transfer hydrogenation using hydrazine and Pd/C.

Drug Information Express,Drug R&D,Chemical Database,Patent Search.
Copyright © 2006-2026 Drug Future. All rights reserved.Contact Us