【药物名称】GG-121
化学结构式(Chemical Structure):
参考文献No.541840
标题:Benzodiazepine receptor ligands. 4. Synthesis and pharmacological evaluation of 3-heteroaryl-8-chloropyrazolo[5,1-c][1,2, 4]benzotriazine 5-oxides
作者:Costanzo, A.; Guerrini, G.; Ciciani, G.; Bruni, F.; Selleri, S.; Costa, B.; Martini, C.; Lucacchini, A.; Aiello, P.M.; Ipponi, A.
来源:J Med Chem 1999,42(12),2218
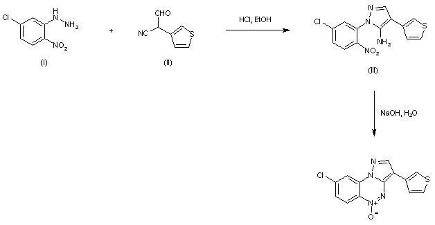
合成路线图解说明:

Condensation of 2-nitro-5-chlorophenylhydrazine (I) with cyanoaldehyde (II) afforded the aminopyrazole derivative (III). This was then cyclized to the target benzotriazine system upon treatment with aqueous NaOH.

Drug Information Express,Drug R&D,Chemical Database,Patent Search.
Copyright © 2006-2026 Drug Future. All rights reserved.Contact Us