【药物名称】
化学结构式(Chemical Structure):
参考文献No.541843
标题:Novel multidrug resistance reversal agents
作者:Berger, D.; Citarella, R.; Dutia, M.; Greenberger, L.; Hallett, W.; Paul, R.; Powell, D.
来源:J Med Chem 1999,42(12),2145
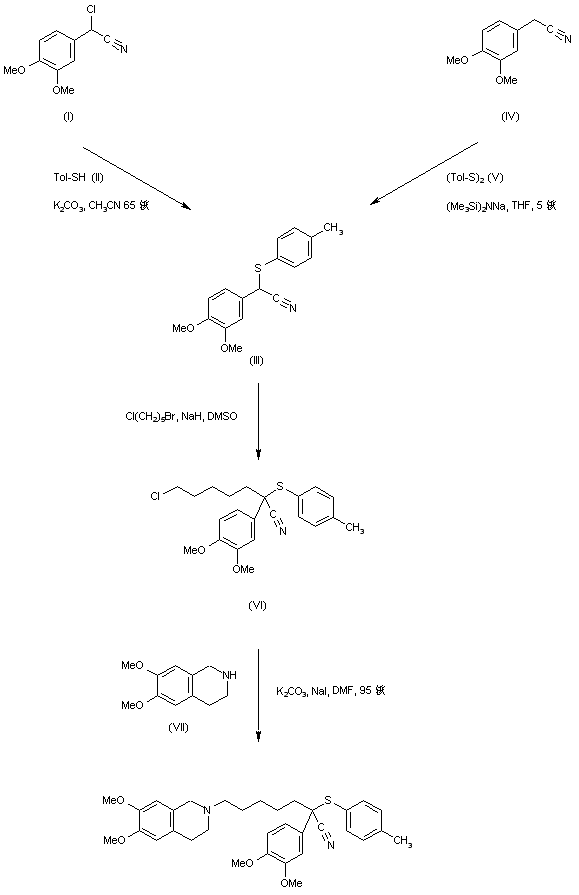
合成路线图解说明:

Condensation of 2-chloro-2-(3,4-dimethoxyphenyl)acetonitrile (I) with p-thiocresol (II) in the presence of K2CO3 gave thioether (III). Alternatively, thioether (III) was obtained by reaction of the anion of (3,4-dimethoxyphenyl)acetonitrile (IV) with p-tolyl disulfide (V). Subsequent alkylation of (III) with 1-bromo-5-chloropentane using NaH in DMSO produced the 5-chloropentyl derivative (VI). This was finally condensed with tetrahydroisoquinoline (VII) to yield the title compound.

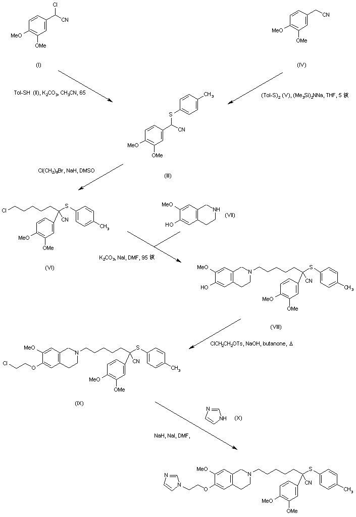
合成路线图解说明:

Condensation of alpha-chloro-(3,4-dimethoxyphenyl)acetonitrile (I) with p-thiocresol (II) in the presence of K2CO3 gave thioether (III). Alternatively, thioether (III) was obtained by reaction of the anion of (3,4-dimethoxyphenyl)acetonitrile (IV) with p-tolyl disulfide (V). Subsequent alkylation of (III) with 1-bromo-5-chloropentane using NaH in DMSO produced the 5-chloropentyl derivative (VI). This was then condensed with tetrahydroisoquinoline (VII) to yield the tertiary amine (VIII). Alkylation of the phenolic hydroxyl group of (VIII) with 2-chloroethyl tosylate produced the 2-chloroethyl ether (IX). Finally, reactionof (IX) with imidazole (X) and NaH in DMF furnished the title compound.

Drug Information Express,Drug R&D,Chemical Database,Patent Search.
Copyright © 2006-2026 Drug Future. All rights reserved.Contact Us