【药物名称】
化学结构式(Chemical Structure):
参考文献No.541842
标题:Design and synthesis of modified quinolones as antitumoral acridones1
作者:Tabarrini, O.; Cecchetti, V.; Fravolini, A.; Nocentini, G.; Barzi, A.; Sabatini, S.; Miao, H.; Sissi, C.
来源:J Med Chem 1999,42(12),2136
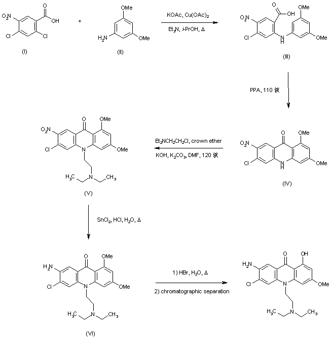
合成路线图解说明:

Ullman reaction of 2,4-dichloro-5-nitrobenzoic acid (I) with 3,5-dimethoxyaniline (II) in the presence of cupric acetate gave the diphenylamine carboxylic acid (III), which was cyclized with polyphosphoric acid at 110 C to afford acridone (IV). This was N-alkylated with 2-(diethylamino)ethyl chloride in the presence of 18-crown-6 to provide (V). The nitro group of (V) was then reduced to amine (VI) using SnCl2 and HCl. Finally, O-demethylation with boiling 48% HBr yielded the target monodemethylated compound along with the dihydroxyl analogue, which were separated by chromatography.

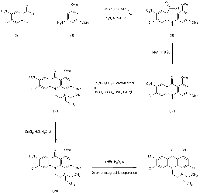
合成路线图解说明:

Ullman reaction of 2,4-dichloro-5-nitrobenzoic acid (I) with 3,5-dimethoxyaniline (II) in the presence of cupric acetate gave the diphenylamine carboxylic acid (III), which was cyclized with polyphosphoric acid at 110 C to afford acridone (IV). This was N-alkylated with 2-(diethylamino)ethyl chloride in the presence of 18-crown-6 to provide (V). The nitro group of (V) was then reduced to amine (VI) using SnCl2 and HCl. Finally, O-demethylation with boiling 48% HBr yielded the target dihydroxy compound along with the monodemethylated analogue, which were separated by chromatography.

Drug Information Express,Drug R&D,Chemical Database,Patent Search.
Copyright © 2006-2026 Drug Future. All rights reserved.Contact Us