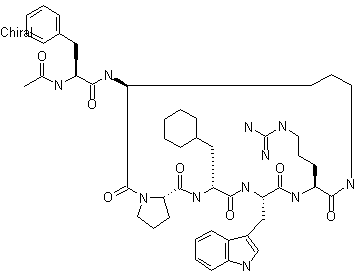
【药物名称】PMX-53, AcF-(OPdChaWR)
化学结构式(Chemical Structure):
参考文献No.38608
标题:Cyclic agonists and antagonists of C5a receptors and G protein-coupled receptors
作者:Fairlie, D.; Wong, A.; Finch, A.M.; Taylor, S.M. (University of Queensland)
来源:EP 1017713; WO 9900406
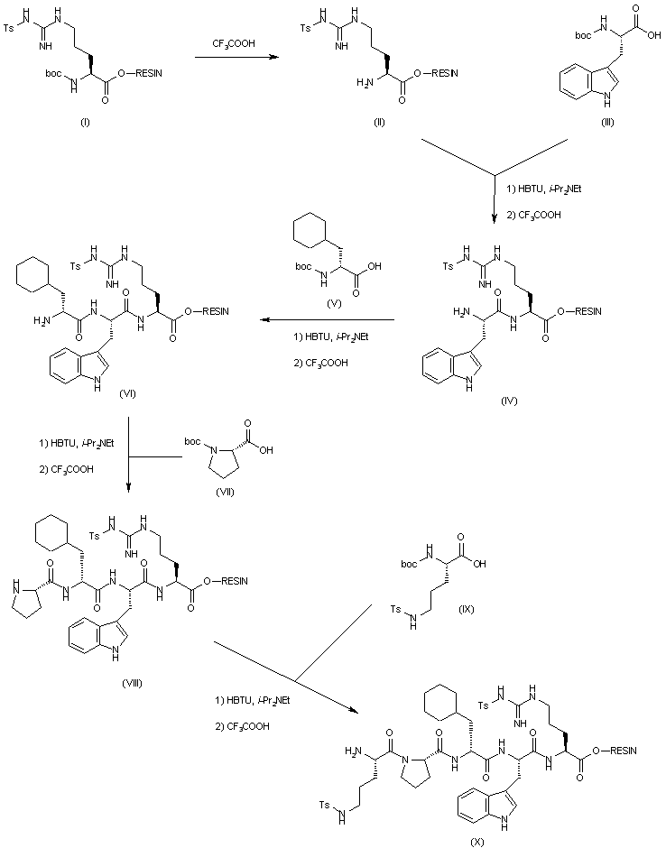
合成路线图解说明:

The compound was prepared by solid-phase peptide synthesis on a PAM-resin. Starting from a N(alpha)-Boc-N(gamma)-Tos-L-arginine resin (I), cleavage of the Boc protecting group by means of trifluoroacetic acid provided Arg(Tos)-resin (II). Coupling of (II) with N(alpha)-Boc-L-tryptophan (III) using O-benzotriazol-1-yl-N,N,N',N'-tetramethyluronium hexafluorophosphate (HBTU) and diisopropylethylamine, followed by acid cleavage of the Boc group gave dipeptide resin (IV). This was in turn coupled and deprotected with the following amino acids N-Boc-D-cyclohexylalanine (V), N--Boc-L-proline (VII) and N(alpha)-Boc-N(delta)-Tos-L-ornithine (IX) to furnish the peptide resins (VI), (VIII), (X) and (XII), respectively.

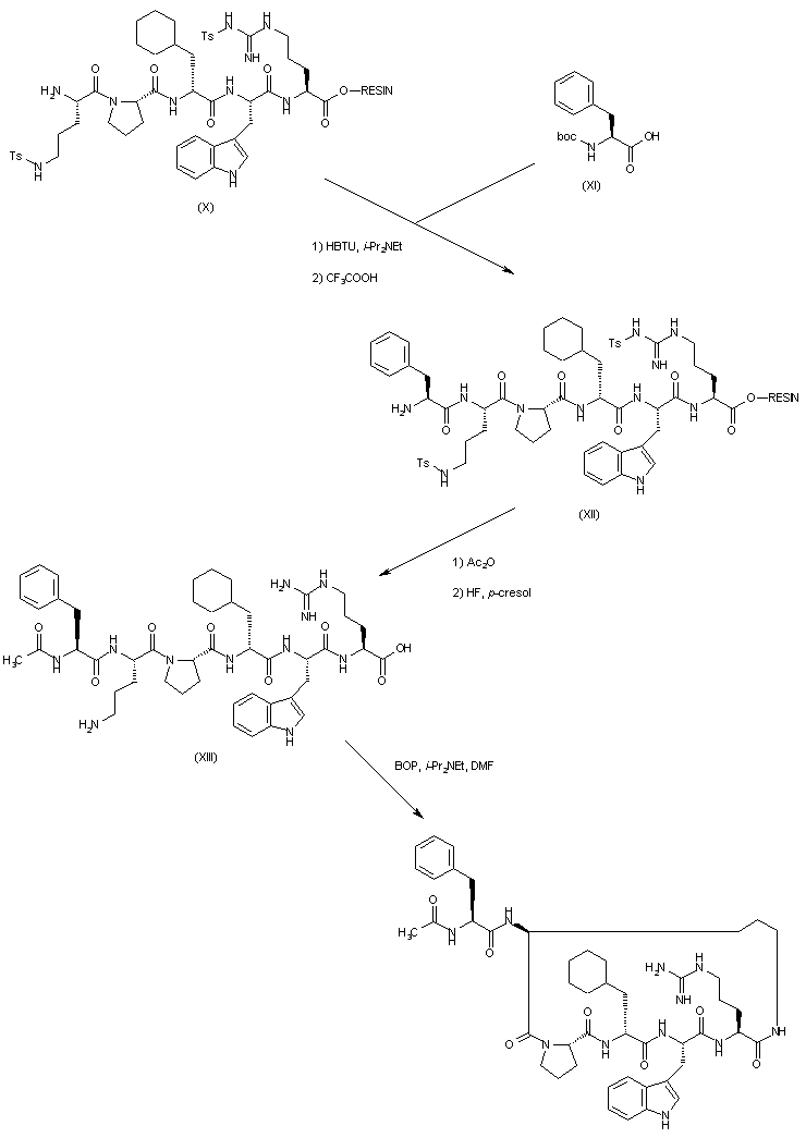
合成路线图解说明:

The resin (X) was coupled with N-Boc-L-phenylalanine (XI) affording resin (XII). The acetylation of the free amino group, side-chain deprotection and cleavage from the resin (XII) employing liquid HF and p-cresol yielded the linear dipeptide (XIII). This was finally cyclized with benzotriazol-1-yloxytris (dimethylamino)phosphonium hexafluorophosphate (BOP) to produce the title cyclic peptide.

参考文献No.538855
标题:Low-molecular-weight peptidic and cyclic antagonists of the receptor for the complement factor C5a
作者:Finch, A.M.; Wong, A.K.; Paczkowski, N.J.; Wadi, S.K.; Craik, D.J.; Fairlie, D.P.; Taylor, S.M.
来源:J Med Chem 1999,42(11),1965
合成路线图解说明:

The compound was prepared by solid-phase peptide synthesis on a PAM-resin. Starting from a N(alpha)-Boc-N(gamma)-Tos-L-arginine resin (I), cleavage of the Boc protecting group by means of trifluoroacetic acid provided Arg(Tos)-resin (II). Coupling of (II) with N(alpha)-Boc-L-tryptophan (III) using O-benzotriazol-1-yl-N,N,N',N'-tetramethyluronium hexafluorophosphate (HBTU) and diisopropylethylamine, followed by acid cleavage of the Boc group gave dipeptide resin (IV). This was in turn coupled and deprotected with the following amino acids N-Boc-D-cyclohexylalanine (V), N--Boc-L-proline (VII) and N(alpha)-Boc-N(delta)-Tos-L-ornithine (IX) to furnish the peptide resins (VI), (VIII), (X) and (XII), respectively.

合成路线图解说明:

The resin (X) was coupled with N-Boc-L-phenylalanine (XI) affording resin (XII). The acetylation of the free amino group, side-chain deprotection and cleavage from the resin (XII) employing liquid HF and p-cresol yielded the linear dipeptide (XIII). This was finally cyclized with benzotriazol-1-yloxytris (dimethylamino)phosphonium hexafluorophosphate (BOP) to produce the title cyclic peptide.

参考文献No.538856
标题:Small molecular probes for G-protein-coupled C5a receptors: Conformationally constrained antagonists derived from the C terminus of the human plasma protein C5a
作者:Wong, A.K.; Finch, A.M.; Pierens, G.K.; Craik, D.J.; Taylor, S.M.; Fairlie, D.P.
来源:J Med Chem 1998,41(18),3417
合成路线图解说明:

The compound was prepared by solid-phase peptide synthesis on a PAM-resin. Starting from a N(alpha)-Boc-N(gamma)-Tos-L-arginine resin (I), cleavage of the Boc protecting group by means of trifluoroacetic acid provided Arg(Tos)-resin (II). Coupling of (II) with N(alpha)-Boc-L-tryptophan (III) using O-benzotriazol-1-yl-N,N,N',N'-tetramethyluronium hexafluorophosphate (HBTU) and diisopropylethylamine, followed by acid cleavage of the Boc group gave dipeptide resin (IV). This was in turn coupled and deprotected with the following amino acids N-Boc-D-cyclohexylalanine (V), N--Boc-L-proline (VII) and N(alpha)-Boc-N(delta)-Tos-L-ornithine (IX) to furnish the peptide resins (VI), (VIII), (X) and (XII), respectively.

合成路线图解说明:

The resin (X) was coupled with N-Boc-L-phenylalanine (XI) affording resin (XII). The acetylation of the free amino group, side-chain deprotection and cleavage from the resin (XII) employing liquid HF and p-cresol yielded the linear dipeptide (XIII). This was finally cyclized with benzotriazol-1-yloxytris (dimethylamino)phosphonium hexafluorophosphate (BOP) to produce the title cyclic peptide.

Drug Information Express,Drug R&D,Chemical Database,Patent Search.
Copyright © 2006-2026 Drug Future. All rights reserved.Contact Us