【药物名称】ML-3176
化学结构式(Chemical Structure):
参考文献No.35863
标题:Acylpyrroldicarboxylic acids and acylindoldicarboxylic acids and their derivs. and inhibitors of the cytosolic phospholipase A2
作者:Lehr, M. (Merckle GmbH)
来源:EP 0923546; WO 9805637
合成路线图解说明:

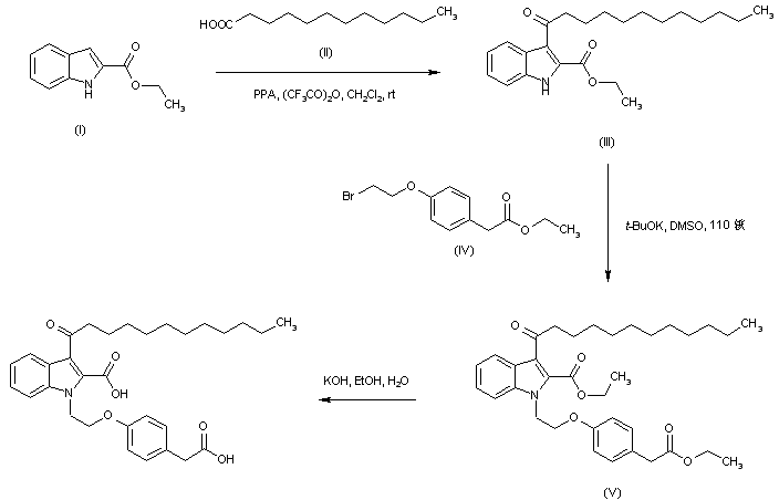
The condensation of ethyl indole-2-carboxylate (I) with dodecanoic acid (II) in the presence of polyphosphoric acid and trifluoroacetic anhydride produced the corresponding 3-dodecanoylindole (III). Subsequent alkylation of (III) with ethyl 4-(2-bromoethoxy)phenylacetate (IV) using potassium tert-butoxide in DMSO afforded the N-alkylated indole (V). The ethyl ester groups of (V) were finally hydrolyzed with KOH to provide the target diacid compound.

Drug Information Express,Drug R&D,Chemical Database,Patent Search.
Copyright © 2006-2026 Drug Future. All rights reserved.Contact Us