【药物名称】
化学结构式(Chemical Structure):
参考文献No.541850
标题:Synthesis and biological activity of anthelmintic thiadiazoles using an AF-2 receptor binding assay
作者:Lee, B.H.; Dutton, F.E.; Clothier, M.F.; Bowman, J.W.; Davis, J,P.; Johnson, S.S.; Thomas, E.M.; Zantello, M.R.; Zinser, E.W.; McGuire, J.C.; Thompson, D.P.; Geary, T.G.
来源:Bioorg Med Chem Lett 1999,9(12),1727
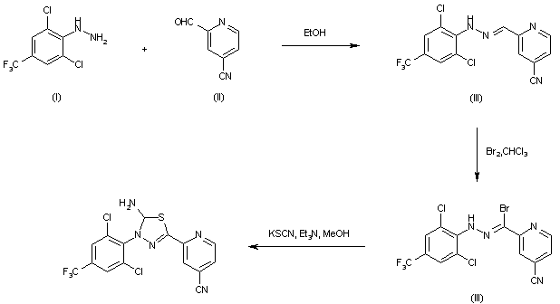
合成路线图解说明:

Condensation of 2,6-dichloro-4-(trifluoromethyl)phenylhydrazine (I) with pyridine carbaldehyde (II) afforded the corresponding hydrazone (III), which was subsequently brominated to produce hydrazonoyl bromide (IV). Further treatment of (IV) with potassium thiocyanate in refluxing MeOH resulted in cyclization to yield the target thiadiazole.

Drug Information Express,Drug R&D,Chemical Database,Patent Search.
Copyright © 2006-2026 Drug Future. All rights reserved.Contact Us