【药物名称】ACPA
化学结构式(Chemical Structure):
参考文献No.539998
标题:Synthesis and characterization of potent and selective agonists of the neuronal cannabinoid receptor (CB1)
作者:Hillard, C.J.; Manna, S.; Greenberg, M.J.; Dicamelli, R.; Ross, R.A.; Stevenson, L.A.; Murphy, V.; Pertwee, R.G.; Campbell, W.B.
来源:J Pharmacol Exp Ther 1999,289(3),1427
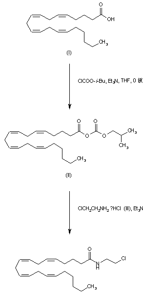
合成路线图解说明:

Arachidonic acid (I) was converted to the mixed anhydride (II) upon treatment with isobutyl chloroformate and triethylamine. Subsequent condensation of (II) with 2-chloroethylamine (III) provided the target amide.

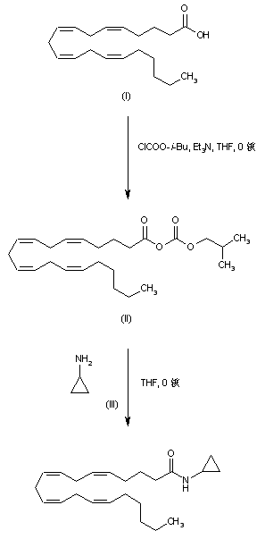
合成路线图解说明:

Arachidonic acid (I) was converted to the mixed anhydride (II) upon treatment with isobutyl chloroformate and triethylamine. Subsequent condensation of (II) with cyclopropylamine (III) provided the target amide.

Drug Information Express,Drug R&D,Chemical Database,Patent Search.
Copyright © 2006-2026 Drug Future. All rights reserved.Contact Us