【药物名称】
化学结构式(Chemical Structure):
参考文献No.43666
标题:Prostaglandin conjugates for treating or preventing bone disease
作者:Gil, L.; Young, R.N.; Ruel, R.; Han, Y. (Merck Frosst Canada Inc.)
来源:US 6121253; WO 0031084
合成路线图解说明:

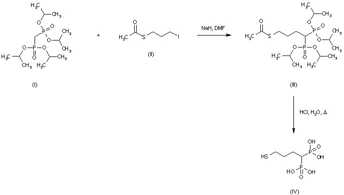
Tetraisopropyl methylenediphosphonate (I) was alkylated with 3-(acetylthio)propyl iodide (II) in the presence of NaH to give (III). Then, hydrolysis of both thioester and phosphonate esters of (III) with refluxing HCl provided the intermediate thiol (IV).

合成路线图解说明:

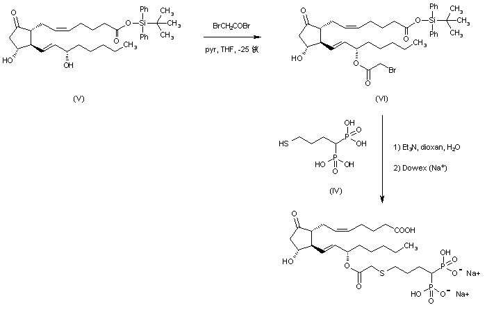
Selective acylation of the silyl ester of prostaglandin E2 (V) at C-15 hydroxyl group with bromoacetyl bromide in the presence of pyridine at -25 C afforded bromoacetate ester (VI). Then, displacement of the halogen atom with thiol (IV) in aqueous dioxan furnished the correspondig desilylated sulfide. This was finally converted into the title disodium phosphonate salt by treatment with cation exchange resin.

参考文献No.539888
标题:Prostaglandin E2-bisphosphonate conjugates: Potential agents for treatment of osteoporosis
作者:Gil, L.; Han, Y.; Opas, E.E.; Rodan, G.A.; Ruel, R.; Seedor, J.G.; Tyler, P.C.; Young, R.N.
来源:Bioorg Med Chem 1999,7(5),901
合成路线图解说明:

Tetraisopropyl methylenediphosphonate (I) was alkylated with 3-(acetylthio)propyl iodide (II) in the presence of NaH to give (III). Then, hydrolysis of both thioester and phosphonate esters of (III) with refluxing HCl provided the intermediate thiol (IV).

合成路线图解说明:

Selective acylation of the silyl ester of prostaglandin E2 (V) at C-15 hydroxyl group with bromoacetyl bromide in the presence of pyridine at -25 C afforded bromoacetate ester (VI). Then, displacement of the halogen atom with thiol (IV) in aqueous dioxan furnished the correspondig desilylated sulfide. This was finally converted into the title disodium phosphonate salt by treatment with cation exchange resin.

Drug Information Express,Drug R&D,Chemical Database,Patent Search.
Copyright © 2006-2026 Drug Future. All rights reserved.Contact Us