【药物名称】
化学结构式(Chemical Structure):
参考文献No.32364
标题:Heterocyclic cpds. as pharmaceutical
作者:Haigh, D.; Sime, J. (SmithKline Beecham plc)
来源:EP 1000938; US 5869495; US 6048883; WO 9401420
合成路线图解说明:

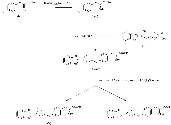
Rhodium acetate-mediated insertion of methanol into diazotyrosine methyl ester (I) provided the alpha-methoxy ester (IIa-b). Subsequent alkylation of (IIa-b) with mesylate (III) using NaH in DMF gave the racemic adduct (IVa-b). Finally, kinetic resolution of (Va-b) employing the lipase from Rhizopus delemar at a pH of 7.0 produced the desired (S)-acid while leaving the unchanged (R)-ester (V).

参考文献No.539886
标题:Non-thiazolidinedione antihyperglycaemic agents. Part 3: The effects of stereochemistry on the potency of alpha-methoxy-beta-phenylpropanoic acids
作者:Haigh, D.; Allen, G.; Birrell, H.C.; Buckle, D.R.; Cantello, B.C.; Eggleston, D.S.; Haltiwanger, R.C.; Holder, J.C.; Lister, C.A.; Pinto, I.L.; Rami, H.K.; Sime, J.T.; Smith, S.A.; Sweeney, J.D.
来源:Bioorg Med Chem 1999,7(5),821
合成路线图解说明:

Rhodium acetate-mediated insertion of methanol into diazotyrosine methyl ester (I) provided the alpha-methoxy ester (IIa-b). Subsequent alkylation of (IIa-b) with mesylate (III) using NaH in DMF gave the racemic adduct (IVa-b). Finally, kinetic resolution of (Va-b) employing the lipase from Rhizopus delemar at a pH of 7.0 produced the desired (S)-acid while leaving the unchanged (R)-ester (V).

Drug Information Express,Drug R&D,Chemical Database,Patent Search.
Copyright © 2006-2026 Drug Future. All rights reserved.Contact Us