【药物名称】ENMD-0995, S-3APG
化学结构式(Chemical Structure):
参考文献No.37903
标题:Substd. 2-(2,6-dioxopiperidin-3-yl)-phthalimides and 1-oxoisoindolines and method of reducing TNFalpha levels
作者:Stirling, D.I.; Chen, R.S.-C.; Muller, G.W. (Celgene Corp.)
来源:EP 0925294; EP 0984955; US 5635517; WO 9803502; WO 9854170
合成路线图解说明:

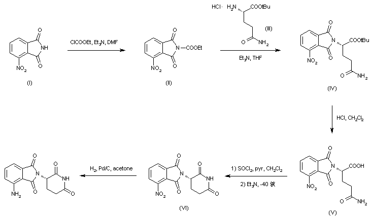
Treatment of 3-nitrophthalimide (I) with ethyl chloroformate and triethylamine produced 3-nitro-N-(ethoxycarbonyl)phthalimide (II), which was condensed with L-glutamine tert-butyl ester hydrochloride (III) to afford the phthaloyl glutamine derivative (IV). Acidic cleavage of the tert-butyl ester of (IV) provided the corresponding carboxylic acid (V). This was cyclized to the required glutarimide (VI) upon treatment with thionyl chloride and then with triethylamine. The nitro group of (VI) was finally reduced to amine by hydrogenation over Pd/C.

参考文献No.62719
标题:Synthesis of 3-amino-thalidomide and its enantiomers
作者:D'Amato, R.J.; Shah, J.H.; Hunsucker, K.A.; Pribluda, V.; Treston, A.; Rougas, J.; Conner, B.P.; Swartz, G.M. (Children's Medical Center Corp.)
来源:WO 0264083
合成路线图解说明:

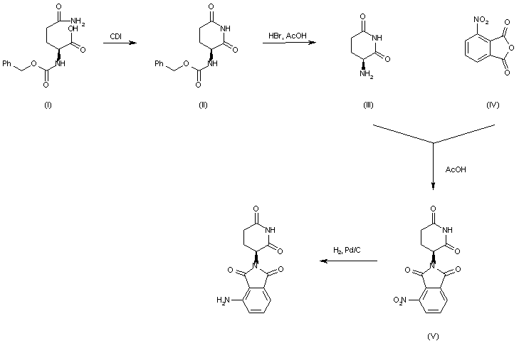
The cyclization of N-(benzyloxycarbonyl)-L-glutamine (I) by means of CDI in THF gives the piperidinedione (II), which is deprotected by means of HBr in AcOH to yield 3(S)-aminopiperidine-2,6-dione (III).The condensation of (III) with 3-nitrophthalic anhydride (IV) in hot DMF/AcOH affords 3(S)-phthalimido-piperidine-2,6-dione (V), which is finally reduced with H2 over Pd/C in dioxane/methanol to provide the target thalidomide derivative.

参考文献No.540159
标题:Amino-substituted thalidomide analogs: Potent inhibitors of TNF-alpha production
作者:Muller, G.W.; Chen, R.; Huang, S.Y.; Corral, L.G.; Wong, L.M.; Patterson, R.T.; Chen, Y.; Kaplan, G.; Stirling, D.I.
来源:Bioorg Med Chem Lett 1999,9(11),1625
合成路线图解说明:

Treatment of 3-nitrophthalimide (I) with ethyl chloroformate and triethylamine produced 3-nitro-N-(ethoxycarbonyl)phthalimide (II), which was condensed with L-glutamine tert-butyl ester hydrochloride (III) to afford the phthaloyl glutamine derivative (IV). Acidic cleavage of the tert-butyl ester of (IV) provided the corresponding carboxylic acid (V). This was cyclized to the required glutarimide (VI) upon treatment with thionyl chloride and then with triethylamine. The nitro group of (VI) was finally reduced to amine by hydrogenation over Pd/C.

合成路线图解说明:

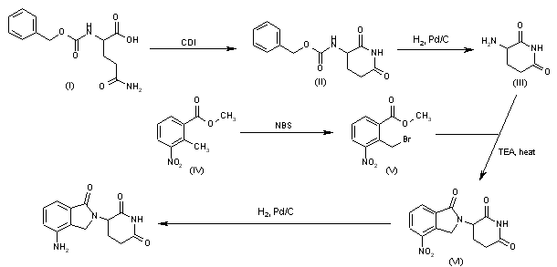
Cyclization of N-(benzyloxycarbonyl)glutamine (I) by means of CDI in refluxing THF gives 3-(benzyloxycarbonylamino)piperidine-2,6-dione (II), which is deprotected with H2 over Pd/C in ethyl acetate/4N HCl to yield 3-aminopiperidine-2,6-dione hydrochloride (III). Bromination of 2-methyl-3-nitrobenzoic acid methyl ester (IV) with NBS in CCl4 provides 2-(bromomethyl)-3-nitrobenzoic acid methyl ester (V), which is cyclized with the aminopiperidine (III) by means of triethylamine in hot DMF to afford 3-(4-nitro-1-oxoisoindolin-2-yl)piperidine-2,6-dione (VI). Finally, the nitro group of compound (VI) is reduced with H2 over Pd/C in methanol (1, 2).

Drug Information Express,Drug R&D,Chemical Database,Patent Search.
Copyright © 2006-2026 Drug Future. All rights reserved.Contact Us