【药物名称】
化学结构式(Chemical Structure):
参考文献No.541057
标题:Transdermal patch delivery of acetylcholinesterase inhibitors
作者:Becker, R.E.; Thornton, S.L.; Moriearty, P.L.
来源:Methods Find Exp Clin Pharmacol 1993,15(6),407
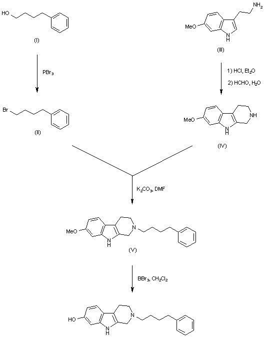
合成路线图解说明:

Treatment of 4-phenylbutanol (I) with PBr3 gave the corresponding bromide (II). 6-Methoxytryptamine (III) was converted to the hydrochloride salt, and then condensed with formaldehyde under Pictet-Spengler conditions to furnish the pyridoindole system (IV). Alkylation of amine (IV) with bromide (II) then gave the phenylbutyl amine (V). Finally, O-demethylation of (V) employing BBr3 yielded the title compound.

Drug Information Express,Drug R&D,Chemical Database,Patent Search.
Copyright © 2006-2026 Drug Future. All rights reserved.Contact Us