【药物名称】DC-41-33, PRL-2903
化学结构式(Chemical Structure):
参考文献No.39636
标题:Somatostatin antagonists
作者:Murphy, W.; Coy, D.H.; Morgan, B. (Biomeasure Inc.; Tulane Educational Fund)
来源:WO 9824807
合成路线图解说明:

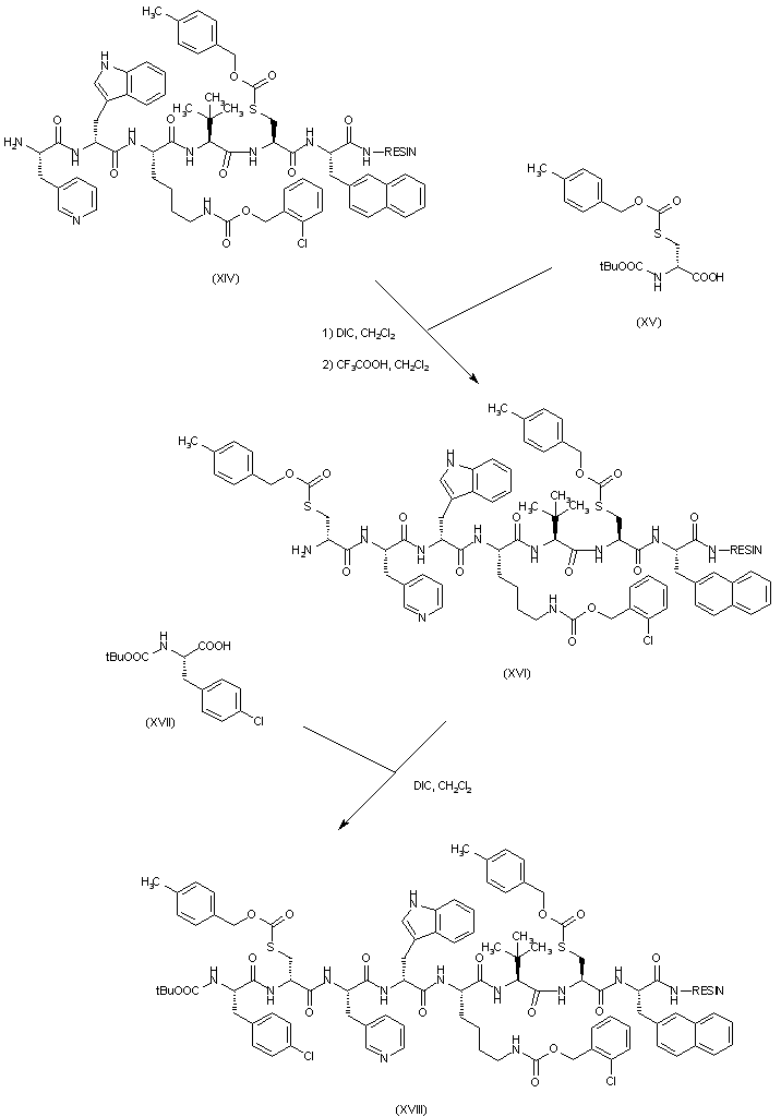
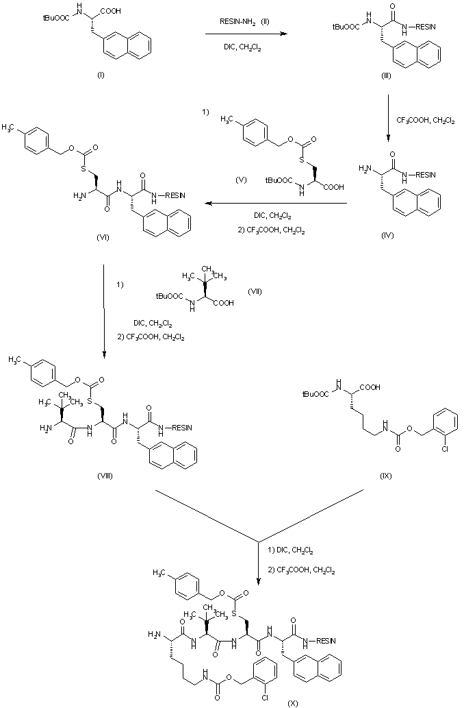
The compound was prepared by solid-phase peptide synthesis on a 4-methylbenzhydrylamine-functionalized resin. Coupling of N-Boc-L-(2-naphthyl)alanine (I) with the amino resin (II) was effected by means of diisopropylcarbodiimide (DIC) to yield the protected amino acid-linked resin (III). Deprotection of the Boc group with trifluoroacetic acid provided resin (IV). This was subsequently submitted to further coupling and deprotection cycles with the protected amino acids N-Boc-S-(4-methylbenzyloxycarbonyl)-L-cysteine (V), N-Boc-L-tert-leucine (VII) and N(alpha)-Boc-N(omega)-(2-chlorobenzyloxycarbonyl)-L-lysine (IX) to afford the peptide-resins (VI), (VIII) and (X), respectively.

合成路线图解说明:

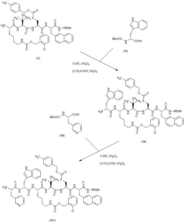
Compound (X) was subsequently submitted to further coupling and deprotection cycles with the protected amino acids N-Boc-D-tryptophan (XI) and N-Boc-L-(3-pyridyl)alanine (XIII) to afford the peptide-resins (XII) and (XIV), respectively.

合成路线图解说明:

Compound (XIV) was subsequently submitted to further coupling and deprotection cycles with the protected amino acids N-Boc-S-(4-methylbenzyloxycarbonyl)-D-cysteine (XV) and N-Boc-L-(4-chlorophenyl)- alanine (XVII) to afford the peptide-resins (XVI) and (XVIII), respectively.

合成路线图解说明:

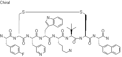
Cleavage of the peptide (XVIII) from the resin support with simultaneous side-chain deprotection using anhydrous HF containing the scavengers anisole and dithiothreitol produced the peptide amide (XIX). This was finally cyclized to the title disulfide employing iodine in AcOH.

合成路线图解说明:

The compound was prepared by solid-phase peptide synthesis on a 4-methylbenzhydrylamine-functionalized resin using an automatic peptide synthesizer. Binding of N-Boc-3-(2-naphthyl)-L-alanine (I) to the resin was effected by double coupling, first with the 1,3-diisopropylcarbodiimide active ester, and then a second coupling with the TBTU ester to produce the amino acid-linked resin (II). Deblocking of the Boc group of (II) by treatment with trifluoroacetic acid provided resin (III). The following amino acids were then coupled and deprotected successively to (III) by the same procedure: N-Boc-S-(4-methylbenzyloxycarbonyl)-L-cysteine (IV), N-Boc-L-tert-leucine (VI), N(alpha)-Boc-N(epsilon)-(2-chlorobenzyloxycarbonyl)-L-lysine (VIII) and N-Boc-D-tryptophan (X) yielding the peptide resins (V), (VII), (IX) and (XI), respectively.

合成路线图解说明:

The coupling and deprotection cycles was continued with N-Boc-L-(3-pyridyl)alanine (XII), N-Boc-S-(4-methylbenzyloxy-carbonyl)-D-cysteine (IV), and N-Boc-L-4-fluorophenylalanine (XV), yielding the peptide resins (XIII), (XIV) and (XVI), respectively.

合成路线图解说明:

Cleavage of the resin support of (XVI) with simultaneous side-chain deprotection using anhydrous HF in the presence of the scavengers anisole and dithiothreitol gave the peptide amide (XVII). This was finally cyclized to the title disulfide by oxidation with iodine in AcOH.

参考文献No.539516
标题:Highly potent cyclic disulfide antagonists of somatostatin
作者:Hocart, S.J.; Jain, R.; Murphy, W.A.; Taylor, J.E.; Coy, D.H.
来源:J Med Chem 1999,42(11),1863
合成路线图解说明:

The compound was prepared by solid-phase peptide synthesis on a 4-methylbenzhydrylamine-functionalized resin. Coupling of N-Boc-L-(2-naphthyl)alanine (I) with the amino resin (II) was effected by means of diisopropylcarbodiimide (DIC) to yield the protected amino acid-linked resin (III). Deprotection of the Boc group with trifluoroacetic acid provided resin (IV). This was subsequently submitted to further coupling and deprotection cycles with the protected amino acids N-Boc-S-(4-methylbenzyloxycarbonyl)-L-cysteine (V), N-Boc-L-tert-leucine (VII) and N(alpha)-Boc-N(omega)-(2-chlorobenzyloxycarbonyl)-L-lysine (IX) to afford the peptide-resins (VI), (VIII) and (X), respectively.

合成路线图解说明:

Compound (X) was subsequently submitted to further coupling and deprotection cycles with the protected amino acids N-Boc-D-tryptophan (XI) and N-Boc-L-(3-pyridyl)alanine (XIII) to afford the peptide-resins (XII) and (XIV), respectively.

合成路线图解说明:

Compound (XIV) was subsequently submitted to further coupling and deprotection cycles with the protected amino acids N-Boc-S-(4-methylbenzyloxycarbonyl)-D-cysteine (XV) and N-Boc-L-(4-chlorophenyl)- alanine (XVII) to afford the peptide-resins (XVI) and (XVIII), respectively.

合成路线图解说明:

Cleavage of the peptide (XVIII) from the resin support with simultaneous side-chain deprotection using anhydrous HF containing the scavengers anisole and dithiothreitol produced the peptide amide (XIX). This was finally cyclized to the title disulfide employing iodine in AcOH.

合成路线图解说明:

The compound was prepared by solid-phase peptide synthesis on a 4-methylbenzhydrylamine-functionalized resin using an automatic peptide synthesizer. Binding of N-Boc-3-(2-naphthyl)-L-alanine (I) to the resin was effected by double coupling, first with the 1,3-diisopropylcarbodiimide active ester, and then a second coupling with the TBTU ester to produce the amino acid-linked resin (II). Deblocking of the Boc group of (II) by treatment with trifluoroacetic acid provided resin (III). The following amino acids were then coupled and deprotected successively to (III) by the same procedure: N-Boc-S-(4-methylbenzyloxycarbonyl)-L-cysteine (IV), N-Boc-L-tert-leucine (VI), N(alpha)-Boc-N(epsilon)-(2-chlorobenzyloxycarbonyl)-L-lysine (VIII) and N-Boc-D-tryptophan (X) yielding the peptide resins (V), (VII), (IX) and (XI), respectively.

合成路线图解说明:

The coupling and deprotection cycles was continued with N-Boc-L-(3-pyridyl)alanine (XII), N-Boc-S-(4-methylbenzyloxy-carbonyl)-D-cysteine (IV), and N-Boc-L-4-fluorophenylalanine (XV), yielding the peptide resins (XIII), (XIV) and (XVI), respectively.

合成路线图解说明:

Cleavage of the resin support of (XVI) with simultaneous side-chain deprotection using anhydrous HF in the presence of the scavengers anisole and dithiothreitol gave the peptide amide (XVII). This was finally cyclized to the title disulfide by oxidation with iodine in AcOH.

参考文献No.544741
标题:Examination of somatostatin involvement in the inhibitory action of GIP, GLP-1, amylin and adrenomedullin on gastric acid release using a new SRIF antagonist analogue
作者:Rossowski, W.J.; Cheng, B.-L.; Jiang, N.-Y.; Coy, D.-H.
来源:Br J Pharmacol 1998,1251081
合成路线图解说明:

The compound was prepared by solid-phase peptide synthesis on a 4-methylbenzhydrylamine-functionalized resin using an automatic peptide synthesizer. Binding of N-Boc-3-(2-naphthyl)-L-alanine (I) to the resin was effected by double coupling, first with the 1,3-diisopropylcarbodiimide active ester, and then a second coupling with the TBTU ester to produce the amino acid-linked resin (II). Deblocking of the Boc group of (II) by treatment with trifluoroacetic acid provided resin (III). The following amino acids were then coupled and deprotected successively to (III) by the same procedure: N-Boc-S-(4-methylbenzyloxycarbonyl)-L-cysteine (IV), N-Boc-L-tert-leucine (VI), N(alpha)-Boc-N(epsilon)-(2-chlorobenzyloxycarbonyl)-L-lysine (VIII) and N-Boc-D-tryptophan (X) yielding the peptide resins (V), (VII), (IX) and (XI), respectively.

合成路线图解说明:

The coupling and deprotection cycles was continued with N-Boc-L-(3-pyridyl)alanine (XII), N-Boc-S-(4-methylbenzyloxy-carbonyl)-D-cysteine (IV), and N-Boc-L-4-fluorophenylalanine (XV), yielding the peptide resins (XIII), (XIV) and (XVI), respectively.

合成路线图解说明:

Cleavage of the resin support of (XVI) with simultaneous side-chain deprotection using anhydrous HF in the presence of the scavengers anisole and dithiothreitol gave the peptide amide (XVII). This was finally cyclized to the title disulfide by oxidation with iodine in AcOH.

Drug Information Express,Drug R&D,Chemical Database,Patent Search.
Copyright © 2006-2026 Drug Future. All rights reserved.Contact Us